🇳🇴 🇬🇧 🇩🇪 🇨🇿 🇫🇮

Meteor Siljanin yllä 2016-12-14 06:05:42 UTC

KML-tiedosto  |  Interaktiivinen kartta

Kartta näyttää meteorin suuntahavainnot. Vaaleammat viivat näyttävät suunnat havaintoasemilta meteorin ilmestyessä, ja tummemmat viivat näyttävät, missä se viimeksi nähtiin. Sininen nuoli näyttää meteorin näkyvän lennon.

static map
height profile
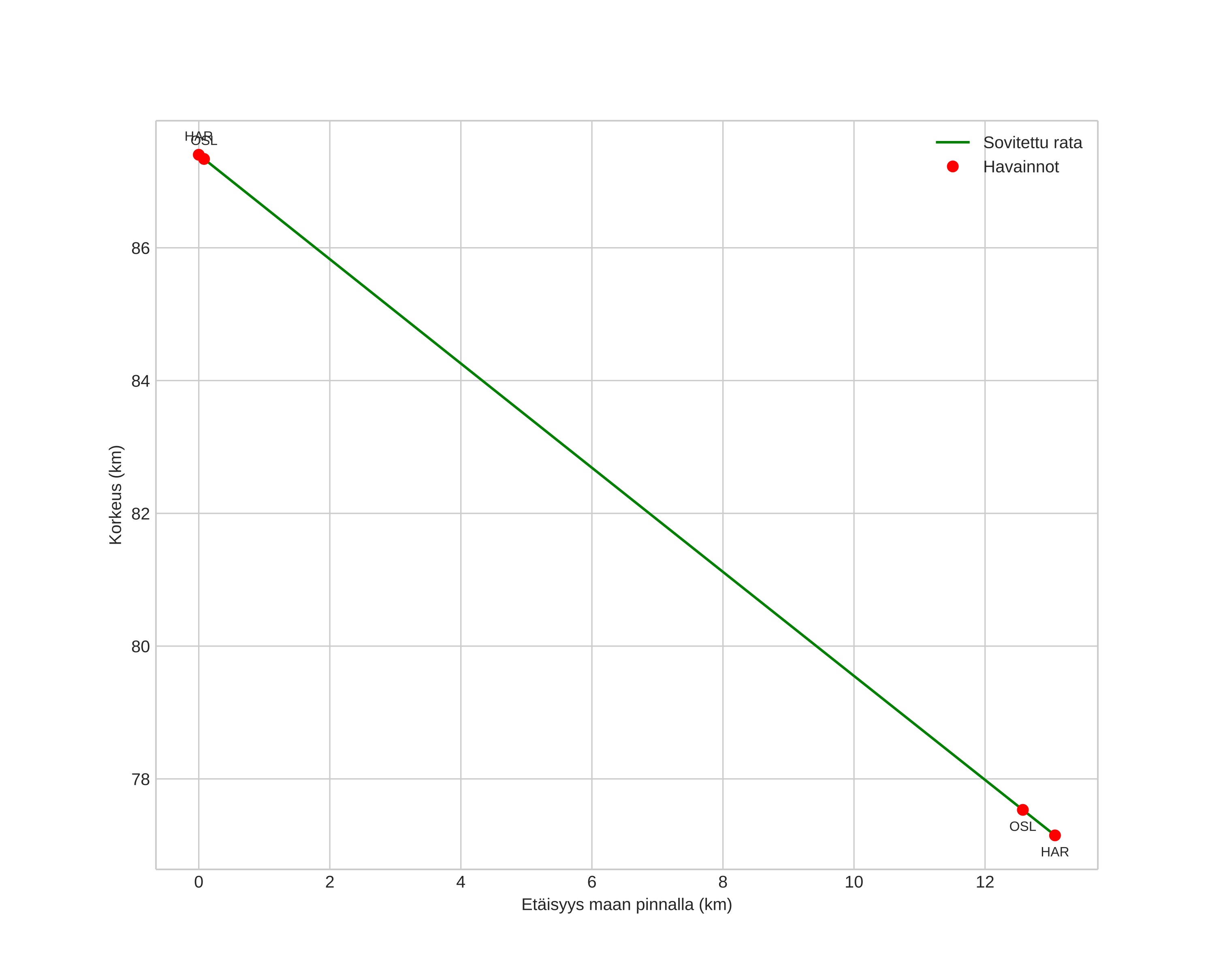
Meteorin ilmakehärata:
Alkukorkeus: 87,4 km
Loppukorkeus: 77,1 km
Alkupiste: 59,243N 9,624E
Loppupiste: 59,231N 9,852E
Suunta: 95,5°
Kallistuskulma: 38,2°
Tulonopeus: 34,3 km/s
Radiantin R,A,: 07:22 (110,7°)
Radiantin Dekl,: 33,3°
Meteoriparvi: Geminidit
Meteoroidin rataelementit:
Perihelietäisyys: 0,186 AU
Eksentrisyys: 0,867
Inklinaatio: 20,8°
Nousevan solmun pituus: 262,4°
Perihelin argumentti: 318,3°
Keskianomalia: 336,7°
Epookki: 2016 DEC 14 06:05:42
orbit plot

Ei-interaktiivinen kuvaaja | Interaktiivinen kuvaaja

position vs time
speed and acceleration