🇳🇴 🇬🇧 🇩🇪 🇨🇿 🇫🇮

Meteor, poloha: Torsby 2016-12-14 20:35:25 UTC

Soubor KML  |  InteraktivnĂ­ mapa

Mapa zobrazuje dráhy meteoru. Světlejší čáry ukazují směry od pozorovacích stanic při objevení se meteoru a tmavší čáry, kde byl naposledy viděn. Modrá šipka značí viditelnou dráhu meteoru.

static map
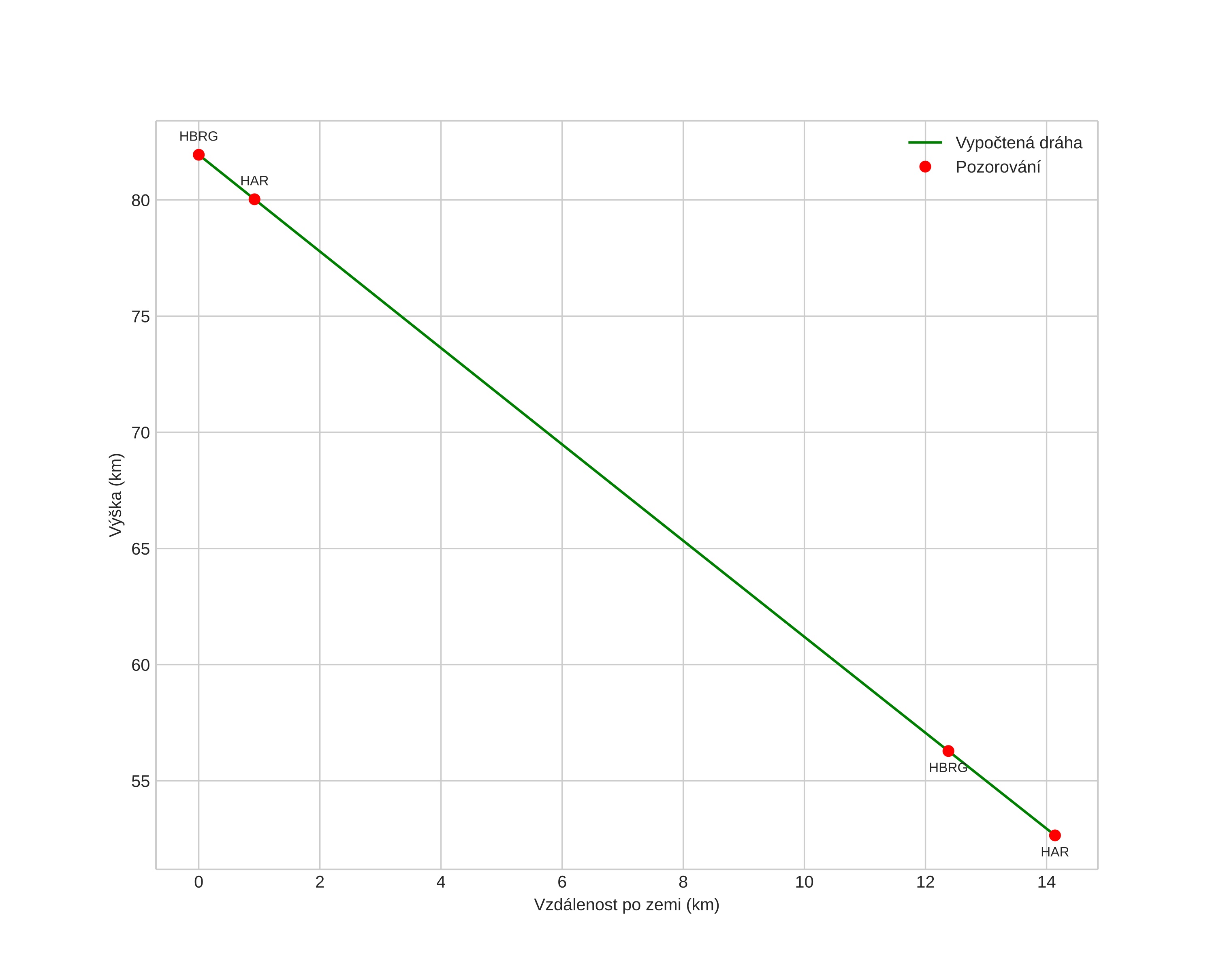
height profile
Atmosférická dráha meteoru:
Počáteční výška: 81,9 km
Konečná výška: 52,7 km
Počáteční poloha: 60,179N 12,997E
Konečná poloha: 60,052N 13,017E
Směr: 175,6°
Sklon: 64,2°
VstupnĂ­ rychlost: 24,9 km/s
Rektascenze radiantu: 00:08 (2,1°)
Deklinace radiantu: 86,2°
MeteorickĂ˝ roj: sporadickĂ˝
Elementy dráhy meteoroidu:
Vzdálenost v periheliu: 0,909 AU
Excentricita: 0,628
Sklon dráhy: 33,6°
Délka vzestupného uzlu: 263,1°
Argument perihelia: 216,7°
Střední anomálie: 353,1°
Epocha: 2016 DEC 14 20:35:25
orbit plot

NeinteraktivnĂ­ graf | InteraktivnĂ­ graf

position vs time
speed and acceleration