🇳🇴 🇬🇧 🇩🇪 🇨🇿 🇫🇮

Meteor Torsbyn yllä 2016-12-14 20:35:25 UTC

KML-tiedosto  |  Interaktiivinen kartta

Kartta näyttää meteorin suuntahavainnot. Vaaleammat viivat näyttävät suunnat havaintoasemilta meteorin ilmestyessä, ja tummemmat viivat näyttävät, missä se viimeksi nähtiin. Sininen nuoli näyttää meteorin näkyvän lennon.

static map
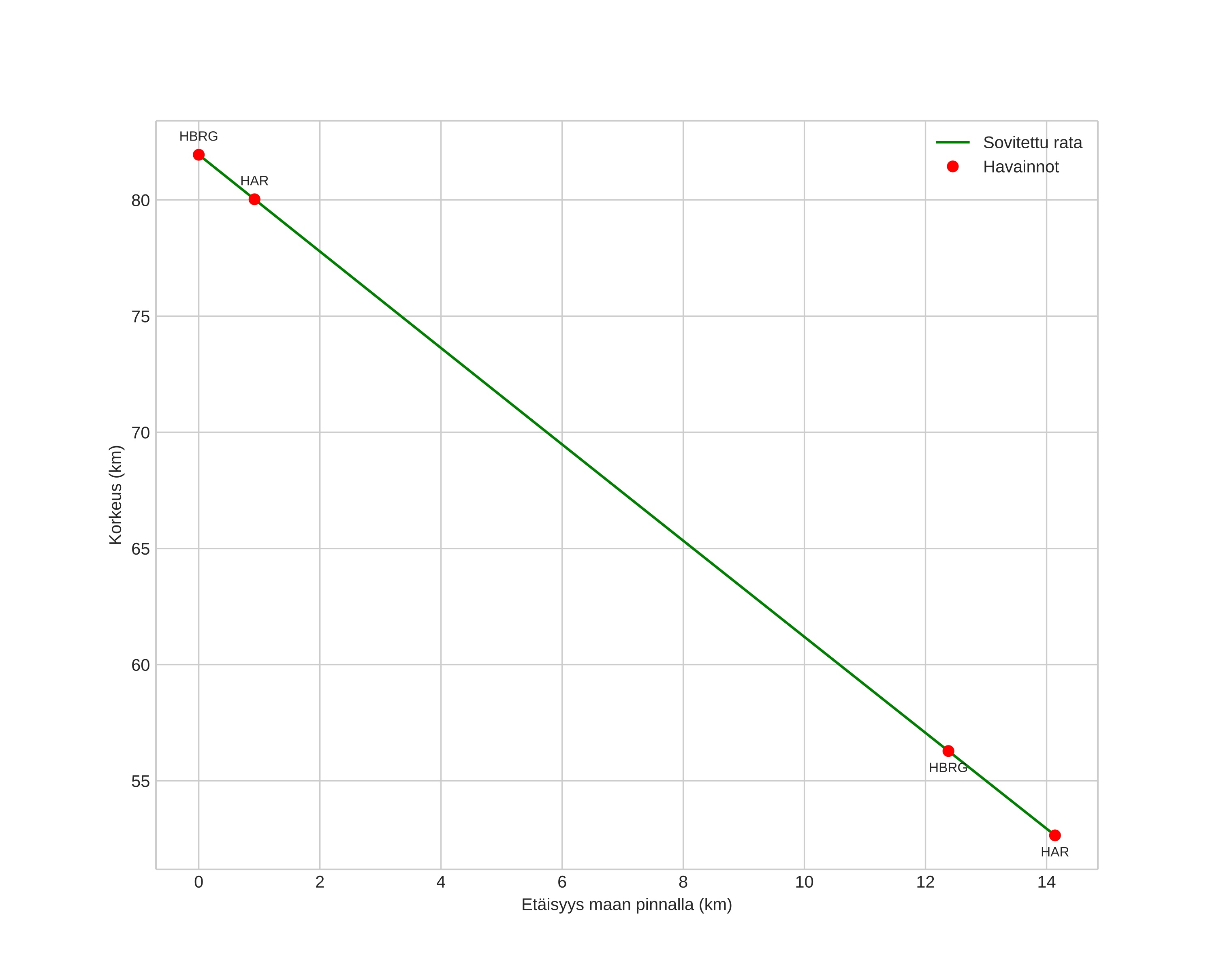
height profile
Meteorin ilmakehärata:
Alkukorkeus: 81,9 km
Loppukorkeus: 52,7 km
Alkupiste: 60,179N 12,997E
Loppupiste: 60,052N 13,017E
Suunta: 175,6°
Kallistuskulma: 64,2°
Tulonopeus: 24,9 km/s
Radiantin R,A,: 00:08 (2,1°)
Radiantin Dekl,: 86,2°
Meteoriparvi: Sporadinen
Meteoroidin rataelementit:
Perihelietäisyys: 0,909 AU
Eksentrisyys: 0,628
Inklinaatio: 33,6°
Nousevan solmun pituus: 263,1°
Perihelin argumentti: 216,7°
Keskianomalia: 353,1°
Epookki: 2016 DEC 14 20:35:25
orbit plot

Ei-interaktiivinen kuvaaja | Interaktiivinen kuvaaja

position vs time
speed and acceleration