🇳🇴 🇬🇧 🇩🇪 🇨🇿 🇫🇮

Meteor over Lerwick 2016-12-18 00:57:21 UTC

KML-fil  |  Interaktivt kart

Kartet viser peilingene for meteoren. De lysere linjene viser retningene fra observasjonsstedene for meteorens tilsynekomst, og de mørkere linjene viser hvor den sist kunne sees. Den blå pila viser meteorens synlige ferd.

static map
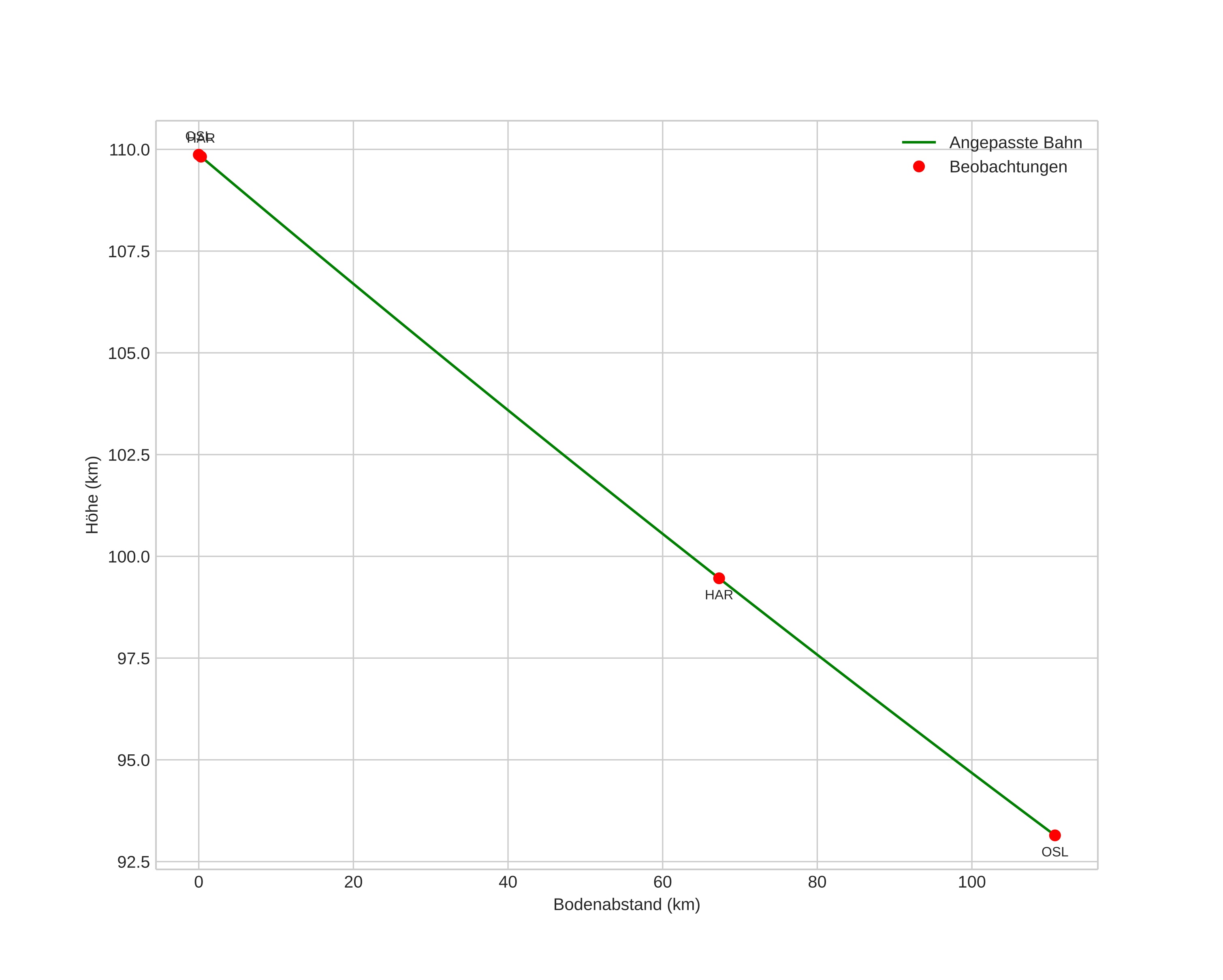
height profile
Meteorens atmosfæriske bane:
Starthøgde: 109,9 km
Slutthøgde: 93,1 km
Startposisjon: 60,013N 3,086E
Sluttposisjon: 59,733N 1,181E
Retning: 254,5°
Fallvinkel: 8,6°
Inngangshastighet: 70,2 km/s
Radiantens rektascensjon: 13:34 (203,7°)
Radiantens deklinasjon: 14,7°
Meteorsverm: sporadisk
Meteoroidens baneelement:
Perihelavstand: 0,784 AU
Eksentrisitet: 1,222
Inklinasjon: 137,8°
Knutelengde: 266,3°
Perihelargument: 129,0°
Midlere anomali: 4,2°
Epoke: 2016 DEC 18 00:57:21
orbit plot

Ikke-interaktivt plott | Interaktivt plott

position vs time
speed and acceleration

Harestua (HAR) cam1


gnomonic
Videoer
• Gnomonisk
• Gnomonisk med koordinater
• Original
• Original med koordinater
Bilder
• Gnomonisk
• Gnomonisk med koordinater
• Ukorrigert gnomonisk med koordinater
• Gnomonisk med annotering
• Ukorrigert gnomonisk med annotering
• Original
• Original med koordinater
• Original med maske
Tekstfiler
• Deteksjon
• Observasjon
• Koordinater
• Feilmeldinger
• Logg
Lysstyrke

Voksenlia (OSL) cam2


gnomonic
Videoer
• Gnomonisk
• Gnomonisk med koordinater
• Original
• Original med koordinater
Bilder
• Gnomonisk
• Gnomonisk med koordinater
• Ukorrigert gnomonisk med koordinater
• Gnomonisk med annotering
• Ukorrigert gnomonisk med annotering
• Original
• Original med koordinater
• Original med maske
Tekstfiler
• Deteksjon
• Observasjon
• Koordinater
• Feilmeldinger
• Logg
Lysstyrke