🇳🇴 🇬🇧 🇩🇪 🇨🇿 🇫🇮

Meteor Lerwickin yllä 2016-12-18 00:57:21 UTC

KML-tiedosto  |  Interaktiivinen kartta

Kartta näyttää meteorin suuntahavainnot. Vaaleammat viivat näyttävät suunnat havaintoasemilta meteorin ilmestyessä, ja tummemmat viivat näyttävät, missä se viimeksi nähtiin. Sininen nuoli näyttää meteorin näkyvän lennon.

static map
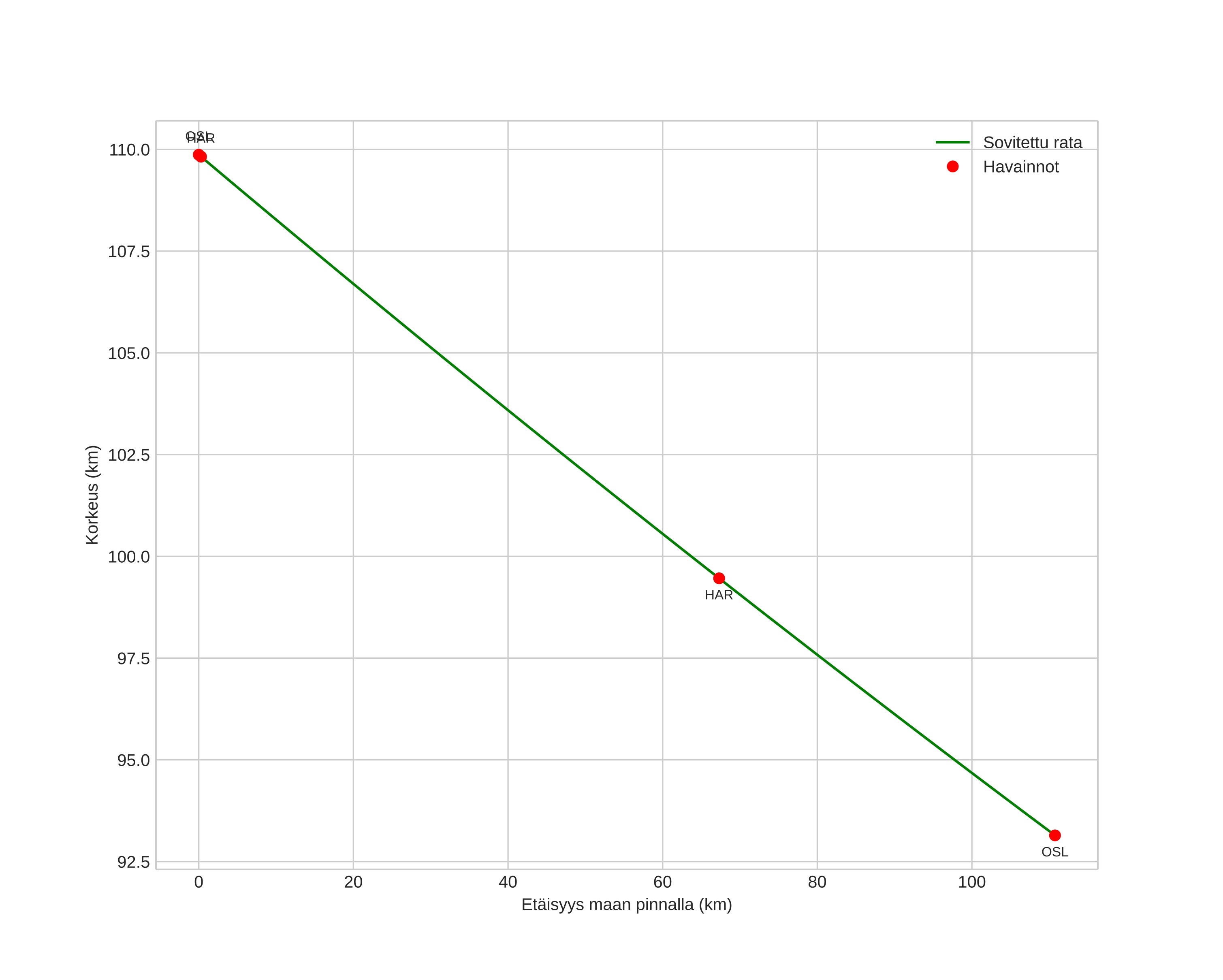
height profile
Meteorin ilmakehärata:
Alkukorkeus: 109,9 km
Loppukorkeus: 93,1 km
Alkupiste: 60,013N 3,086E
Loppupiste: 59,733N 1,181E
Suunta: 254,5°
Kallistuskulma: 8,6°
Tulonopeus: 70,2 km/s
Radiantin R,A,: 13:34 (203,7°)
Radiantin Dekl,: 14,7°
Meteoriparvi: Sporadinen
Meteoroidin rataelementit:
Perihelietäisyys: 0,784 AU
Eksentrisyys: 1,222
Inklinaatio: 137,8°
Nousevan solmun pituus: 266,3°
Perihelin argumentti: 129,0°
Keskianomalia: 4,2°
Epookki: 2016 DEC 18 00:57:21
orbit plot

Ei-interaktiivinen kuvaaja | Interaktiivinen kuvaaja

position vs time
speed and acceleration