🇳🇴 🇬🇧 🇩🇪 🇨🇿 🇫🇮

Meteor, poloha: Lerwick 2016-12-18 00:57:21 UTC

Soubor KML  |  InteraktivnĂ­ mapa

Mapa zobrazuje dráhy meteoru. Světlejší čáry ukazují směry od pozorovacích stanic při objevení se meteoru a tmavší čáry, kde byl naposledy viděn. Modrá šipka značí viditelnou dráhu meteoru.

static map
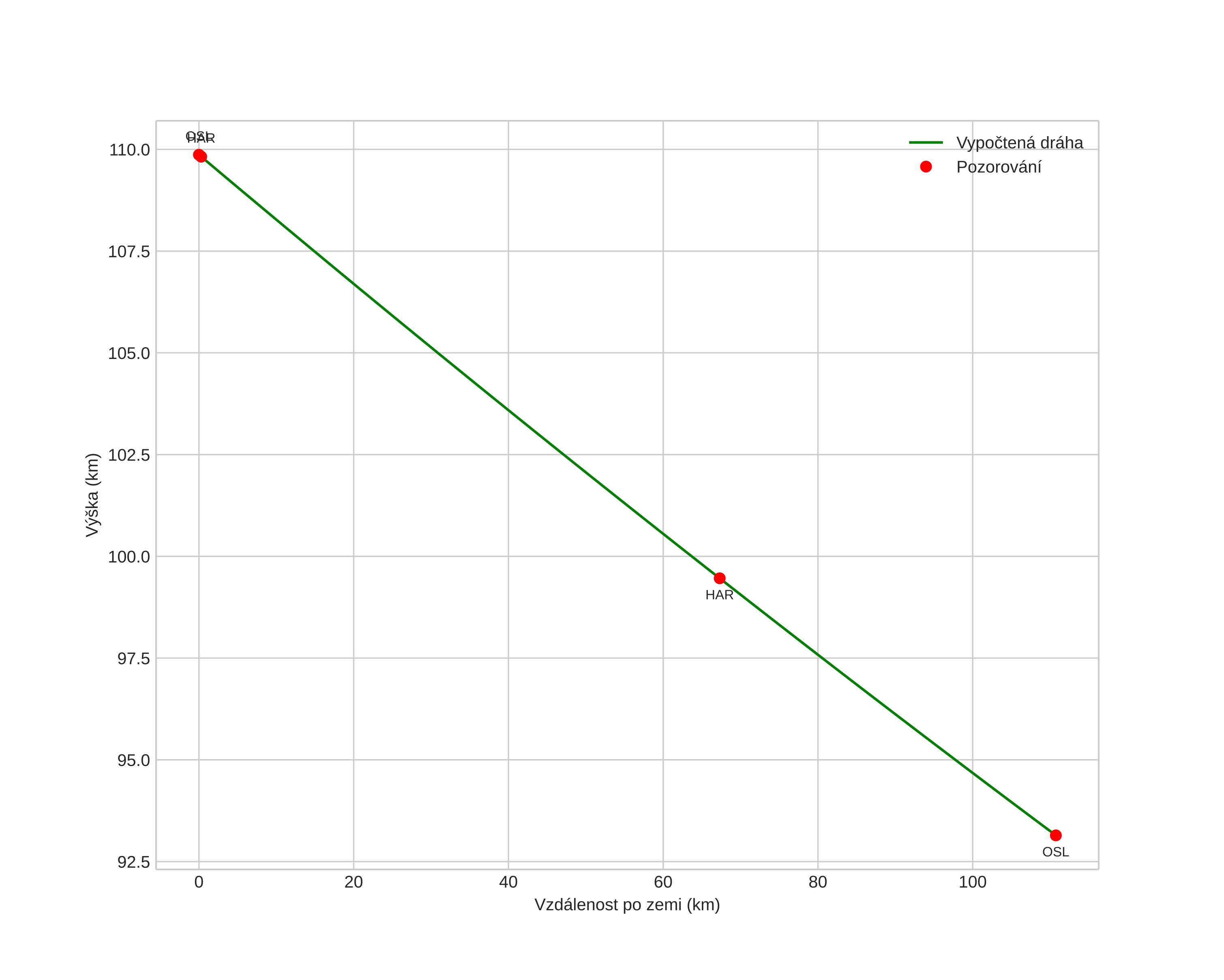
height profile
Atmosférická dráha meteoru:
Počáteční výška: 109,9 km
Konečná výška: 93,1 km
Počáteční poloha: 60,013N 3,086E
Konečná poloha: 59,733N 1,181E
Směr: 254,5°
Sklon: 8,6°
VstupnĂ­ rychlost: 70,2 km/s
Rektascenze radiantu: 13:34 (203,7°)
Deklinace radiantu: 14,7°
MeteorickĂ˝ roj: sporadickĂ˝
Elementy dráhy meteoroidu:
Vzdálenost v periheliu: 0,784 AU
Excentricita: 1,222
Sklon dráhy: 137,8°
Délka vzestupného uzlu: 266,3°
Argument perihelia: 129,0°
Střední anomálie: 4,2°
Epocha: 2016 DEC 18 00:57:21
orbit plot

NeinteraktivnĂ­ graf | InteraktivnĂ­ graf

position vs time
speed and acceleration