🇳🇴 🇬🇧 🇩🇪 🇨🇿 🇫🇮

Meteor over Auli 2016-12-19 01:40:45 UTC

KML-fil  |  Interaktivt kart

Kartet viser peilingene for meteoren. De lysere linjene viser retningene fra observasjonsstedene for meteorens tilsynekomst, og de mørkere linjene viser hvor den sist kunne sees. Den blå pila viser meteorens synlige ferd.

static map
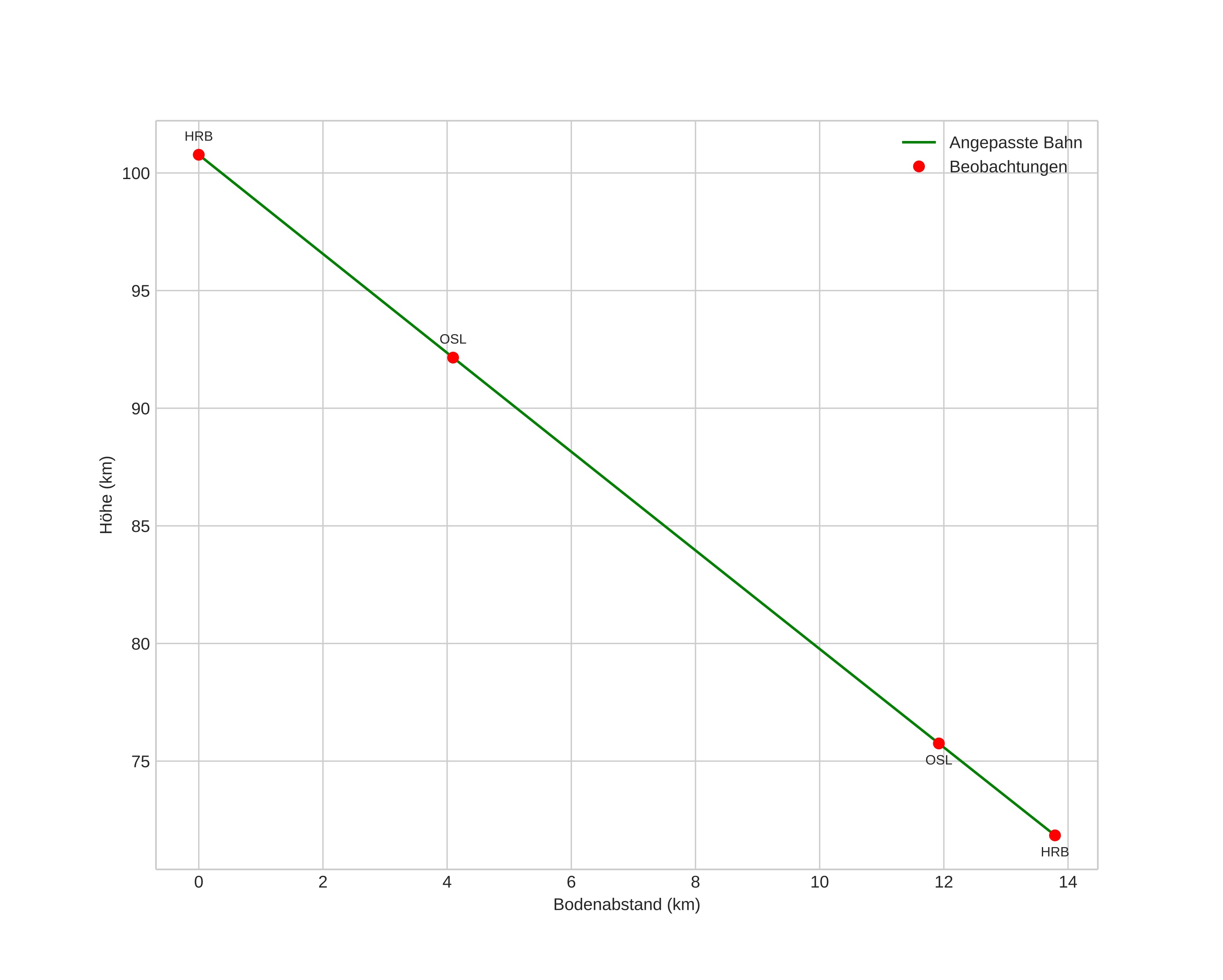
height profile
Meteorens atmosfæriske bane:
Starthøgde: 100,8 km
Slutthøgde: 71,8 km
Startposisjon: 60,154N 11,377E
Sluttposisjon: 60,035N 11,309E
Retning: 195,8°
Fallvinkel: 64,6°
Inngangshastighet: 33,5 km/s
Radiantens rektascensjon: 11:55 (178,9°)
Radiantens deklinasjon: 82,1°
Meteorsverm: Ursidene
Meteoroidens baneelement:
Perihelavstand: 0,879 AU
Eksentrisitet: 0,816
Inklinasjon: 48,5°
Knutelengde: 267,3°
Perihelargument: 220,2°
Midlere anomali: 357,5°
Epoke: 2016 DEC 19 01:40:45
orbit plot

Ikke-interaktivt plott | Interaktivt plott

position vs time
speed and acceleration

Voksenlia (OSL) cam3


gnomonic
Videoer
• Gnomonisk
• Gnomonisk med koordinater
• Original
• Original med koordinater
Bilder
• Gnomonisk
• Gnomonisk med koordinater
• Ukorrigert gnomonisk med koordinater
• Gnomonisk med annotering
• Ukorrigert gnomonisk med annotering
• Original
• Original med koordinater
• Original med maske
Tekstfiler
• Deteksjon
• Observasjon
• Koordinater
• Feilmeldinger
• Logg
Lysstyrke