🇳🇴 🇬🇧 🇩🇪 🇨🇿 🇫🇮

Meteor Aulin yllä 2016-12-19 01:40:45 UTC

KML-tiedosto  |  Interaktiivinen kartta

Kartta näyttää meteorin suuntahavainnot. Vaaleammat viivat näyttävät suunnat havaintoasemilta meteorin ilmestyessä, ja tummemmat viivat näyttävät, missä se viimeksi nähtiin. Sininen nuoli näyttää meteorin näkyvän lennon.

static map
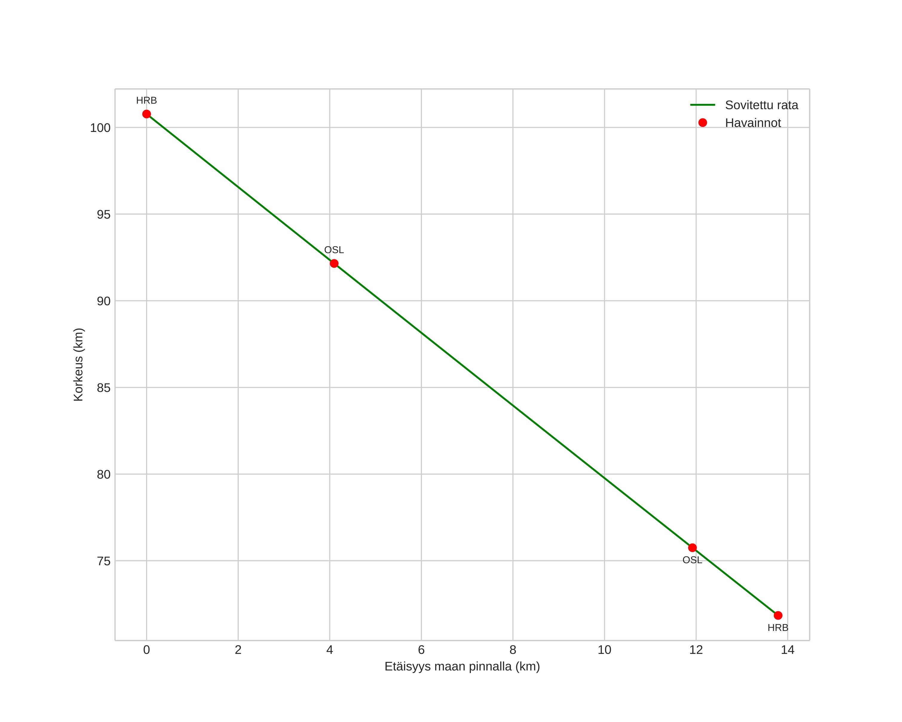
height profile
Meteorin ilmakehärata:
Alkukorkeus: 100,8 km
Loppukorkeus: 71,8 km
Alkupiste: 60,154N 11,377E
Loppupiste: 60,035N 11,309E
Suunta: 195,8°
Kallistuskulma: 64,6°
Tulonopeus: 33,5 km/s
Radiantin R,A,: 11:55 (178,9°)
Radiantin Dekl,: 82,1°
Meteoriparvi: Ursidit
Meteoroidin rataelementit:
Perihelietäisyys: 0,879 AU
Eksentrisyys: 0,816
Inklinaatio: 48,5°
Nousevan solmun pituus: 267,3°
Perihelin argumentti: 220,2°
Keskianomalia: 357,5°
Epookki: 2016 DEC 19 01:40:45
orbit plot

Ei-interaktiivinen kuvaaja | Interaktiivinen kuvaaja

position vs time
speed and acceleration