🇳🇴 🇬🇧 🇩🇪 🇨🇿 🇫🇮

Meteor, poloha: Auli 2016-12-19 01:40:45 UTC

Soubor KML  |  InteraktivnĂ­ mapa

Mapa zobrazuje dráhy meteoru. Světlejší čáry ukazují směry od pozorovacích stanic při objevení se meteoru a tmavší čáry, kde byl naposledy viděn. Modrá šipka značí viditelnou dráhu meteoru.

static map
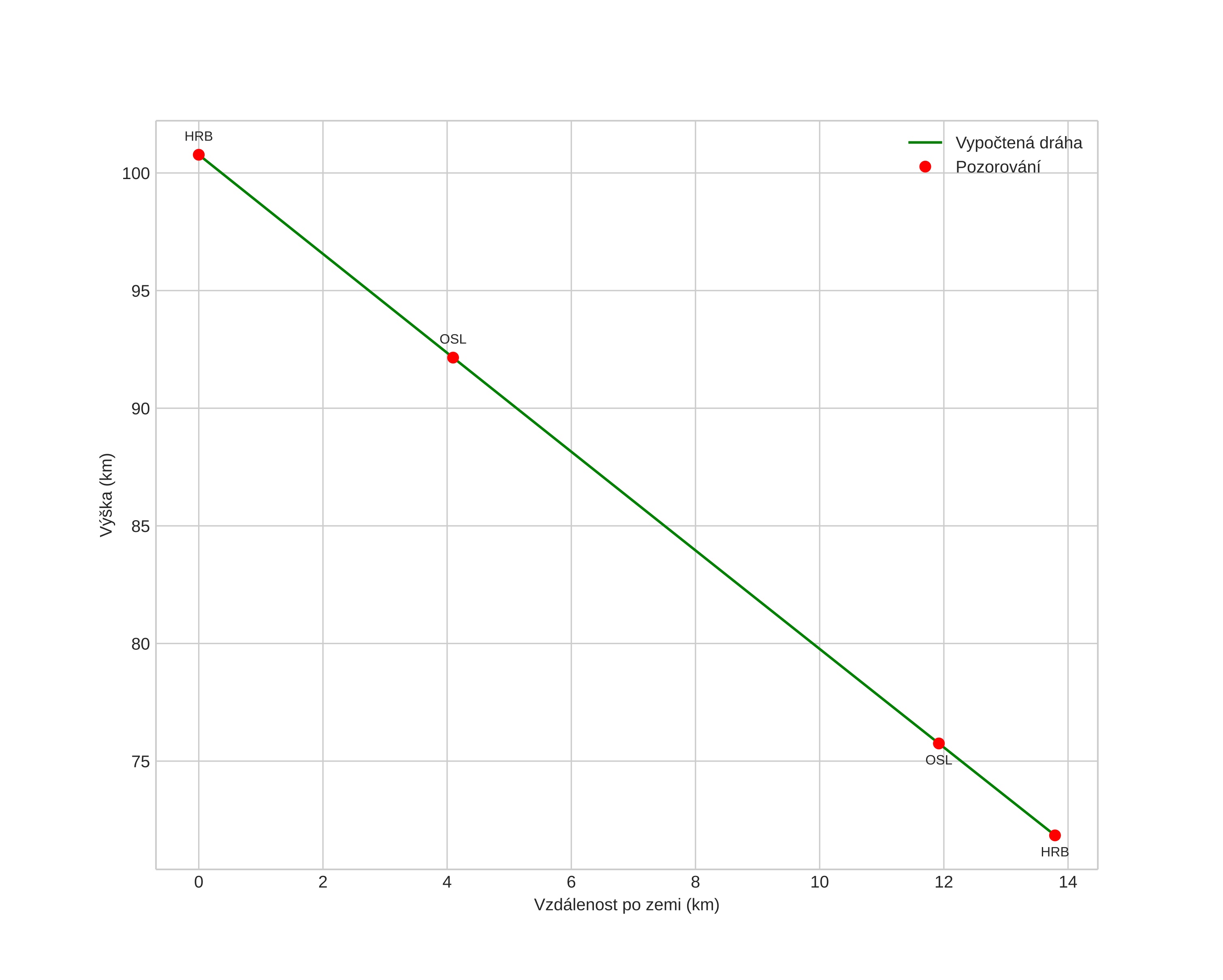
height profile
Atmosférická dráha meteoru:
Počáteční výška: 100,8 km
Konečná výška: 71,8 km
Počáteční poloha: 60,154N 11,377E
Konečná poloha: 60,035N 11,309E
Směr: 195,8°
Sklon: 64,6°
VstupnĂ­ rychlost: 33,5 km/s
Rektascenze radiantu: 11:55 (178,9°)
Deklinace radiantu: 82,1°
MeteorickĂ˝ roj: Ursidy
Elementy dráhy meteoroidu:
Vzdálenost v periheliu: 0,879 AU
Excentricita: 0,816
Sklon dráhy: 48,5°
Délka vzestupného uzlu: 267,3°
Argument perihelia: 220,2°
Střední anomálie: 357,5°
Epocha: 2016 DEC 19 01:40:45
orbit plot

NeinteraktivnĂ­ graf | InteraktivnĂ­ graf

position vs time
speed and acceleration