🇳🇴 🇬🇧 🇩🇪 🇨🇿 🇫🇮

Meteor, poloha: Kvicksund 2016-12-22 01:52:41 UTC

Soubor KML  |  InteraktivnĂ­ mapa

Mapa zobrazuje dráhy meteoru. Světlejší čáry ukazují směry od pozorovacích stanic při objevení se meteoru a tmavší čáry, kde byl naposledy viděn. Modrá šipka značí viditelnou dráhu meteoru.

static map
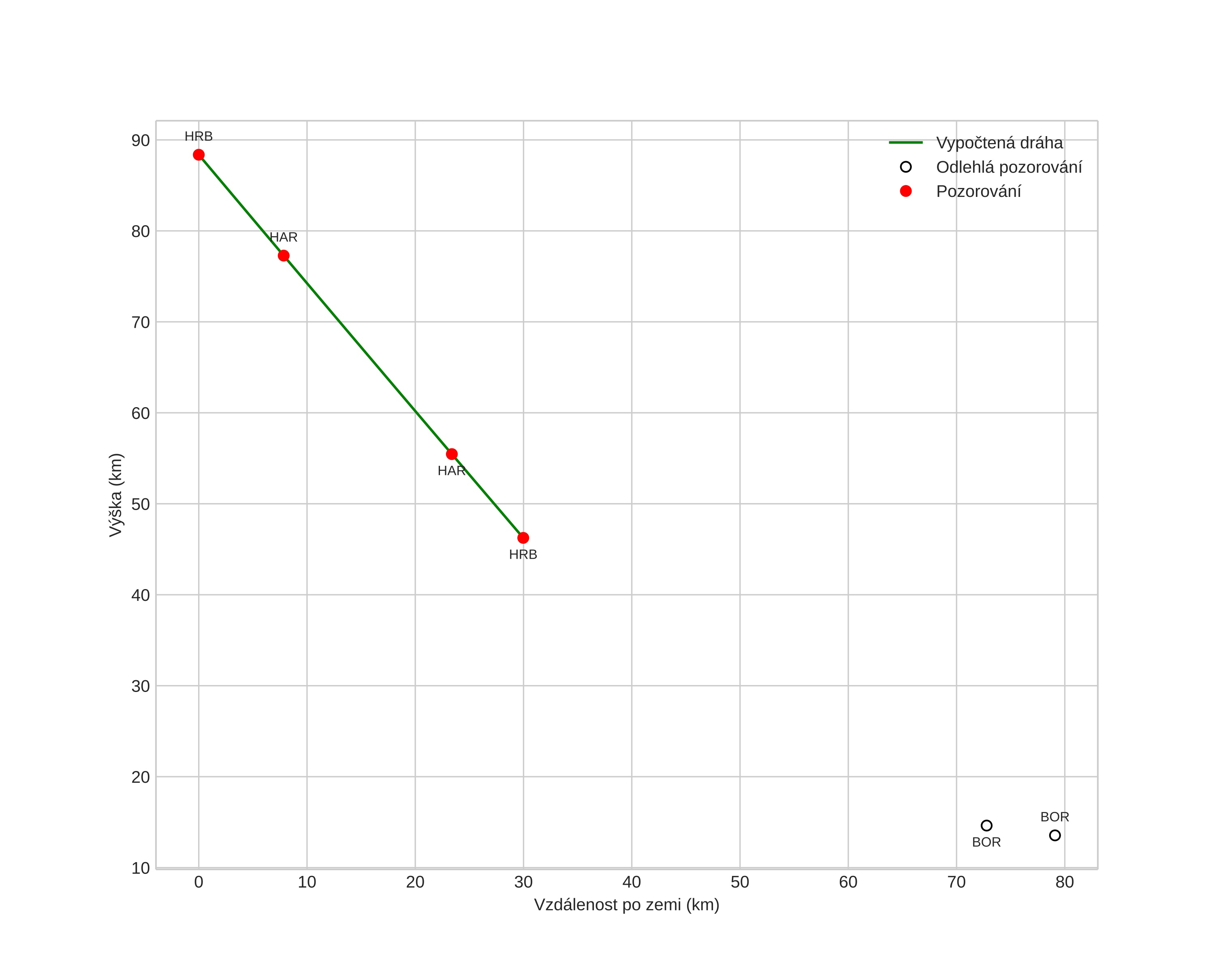
height profile
Atmosférická dráha meteoru:
Počáteční výška: 88,4 km
Konečná výška: 46,3 km
Počáteční poloha: 59,236N 15,840E
Konečná poloha: 59,428N 16,211E
Směr: 44,4°
Sklon: 54,5°
VstupnĂ­ rychlost: 29,1 km/s
Rektascenze radiantu: 07:03 (106,0°)
Deklinace radiantu: 27,7°
MeteorickĂ˝ roj: sporadickĂ˝
Elementy dráhy meteoroidu:
Vzdálenost v periheliu: 0,353 AU
Excentricita: 0,785
Sklon dráhy: 5,7°
Délka vzestupného uzlu: 270,4°
Argument perihelia: 297,3°
Střední anomálie: 339,3°
Epocha: 2016 DEC 22 01:52:41
orbit plot

NeinteraktivnĂ­ graf | InteraktivnĂ­ graf

position vs time
speed and acceleration