🇳🇴 🇬🇧 🇩🇪 🇨🇿 🇫🇮

Meteor Kvicksundin yllä 2016-12-22 01:52:41 UTC

KML-tiedosto  |  Interaktiivinen kartta

Kartta näyttää meteorin suuntahavainnot. Vaaleammat viivat näyttävät suunnat havaintoasemilta meteorin ilmestyessä, ja tummemmat viivat näyttävät, missä se viimeksi nähtiin. Sininen nuoli näyttää meteorin näkyvän lennon.

static map
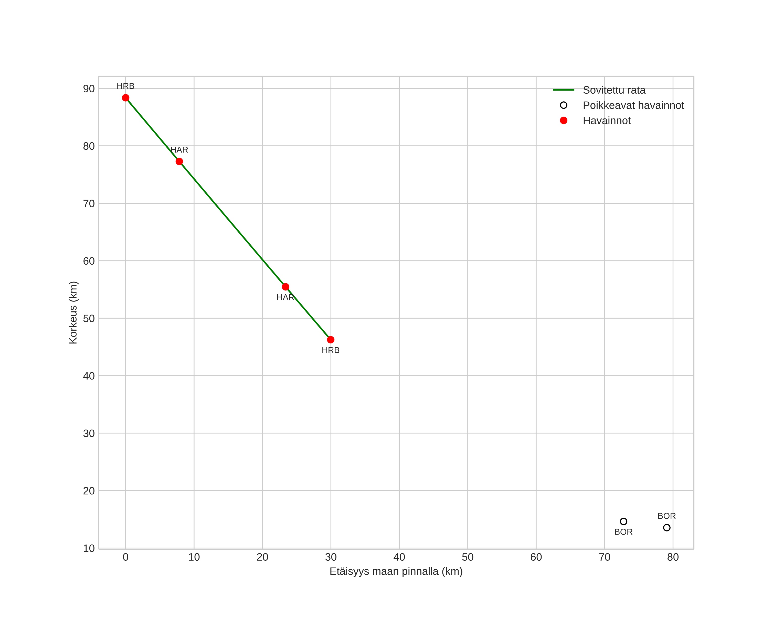
height profile
Meteorin ilmakehärata:
Alkukorkeus: 88,4 km
Loppukorkeus: 46,3 km
Alkupiste: 59,236N 15,840E
Loppupiste: 59,428N 16,211E
Suunta: 44,4°
Kallistuskulma: 54,5°
Tulonopeus: 29,1 km/s
Radiantin R,A,: 07:03 (106,0°)
Radiantin Dekl,: 27,7°
Meteoriparvi: Sporadinen
Meteoroidin rataelementit:
Perihelietäisyys: 0,353 AU
Eksentrisyys: 0,785
Inklinaatio: 5,7°
Nousevan solmun pituus: 270,4°
Perihelin argumentti: 297,3°
Keskianomalia: 339,3°
Epookki: 2016 DEC 22 01:52:41
orbit plot

Ei-interaktiivinen kuvaaja | Interaktiivinen kuvaaja

position vs time
speed and acceleration