🇳🇴 🇬🇧 🇩🇪 🇨🇿 🇫🇮

Meteor, poloha: Torsby 2016-12-22 04:35:21 UTC

Soubor KML  |  InteraktivnĂ­ mapa

Mapa zobrazuje dráhy meteoru. Světlejší čáry ukazují směry od pozorovacích stanic při objevení se meteoru a tmavší čáry, kde byl naposledy viděn. Modrá šipka značí viditelnou dráhu meteoru.

static map
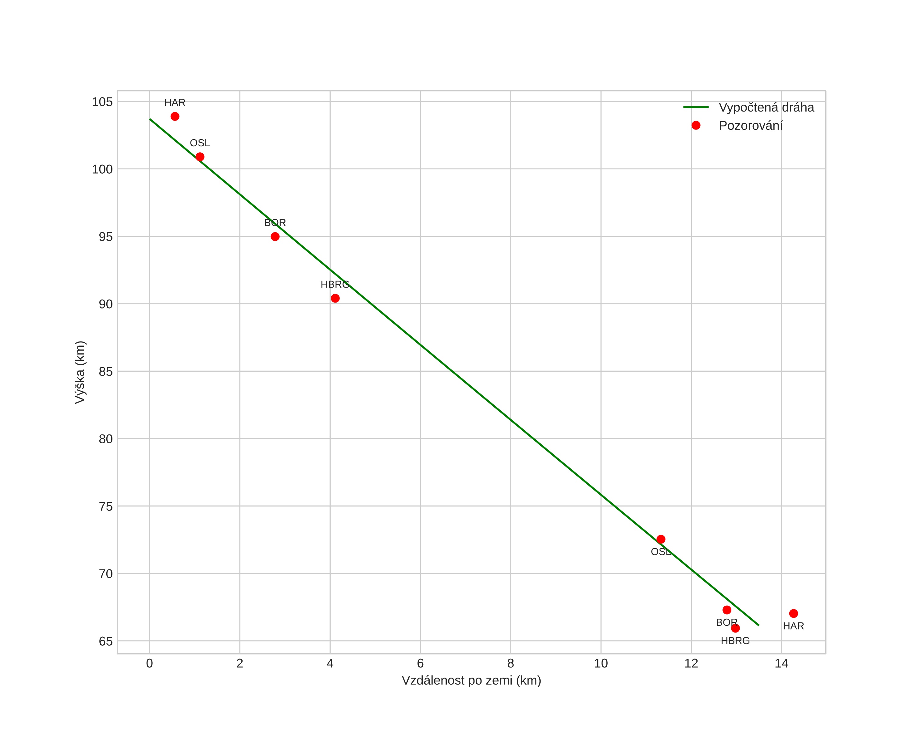
height profile
Atmosférická dráha meteoru:
Počáteční výška: 103,7 km
Konečná výška: 66,1 km
Počáteční poloha: 60,573N 13,261E
Konečná poloha: 60,464N 13,151E
Směr: 206,6°
Sklon: 70,2°
VstupnĂ­ rychlost: 34,9 km/s
Rektascenze radiantu: 14:02 (210,7°)
Deklinace radiantu: 76,0°
MeteorickĂ˝ roj: Ursidy
Elementy dráhy meteoroidu:
Vzdálenost v periheliu: 0,925 AU
Excentricita: 0,784
Sklon dráhy: 52,9°
Délka vzestupného uzlu: 270,5°
Argument perihelia: 210,2°
Střední anomálie: 357,6°
Epocha: 2016 DEC 22 04:35:21
orbit plot

NeinteraktivnĂ­ graf | InteraktivnĂ­ graf

position vs time
speed and acceleration