🇳🇴 🇬🇧 🇩🇪 🇨🇿 🇫🇮

Meteor Torsbyn yllä 2016-12-22 04:35:21 UTC

KML-tiedosto  |  Interaktiivinen kartta

Kartta näyttää meteorin suuntahavainnot. Vaaleammat viivat näyttävät suunnat havaintoasemilta meteorin ilmestyessä, ja tummemmat viivat näyttävät, missä se viimeksi nähtiin. Sininen nuoli näyttää meteorin näkyvän lennon.

static map
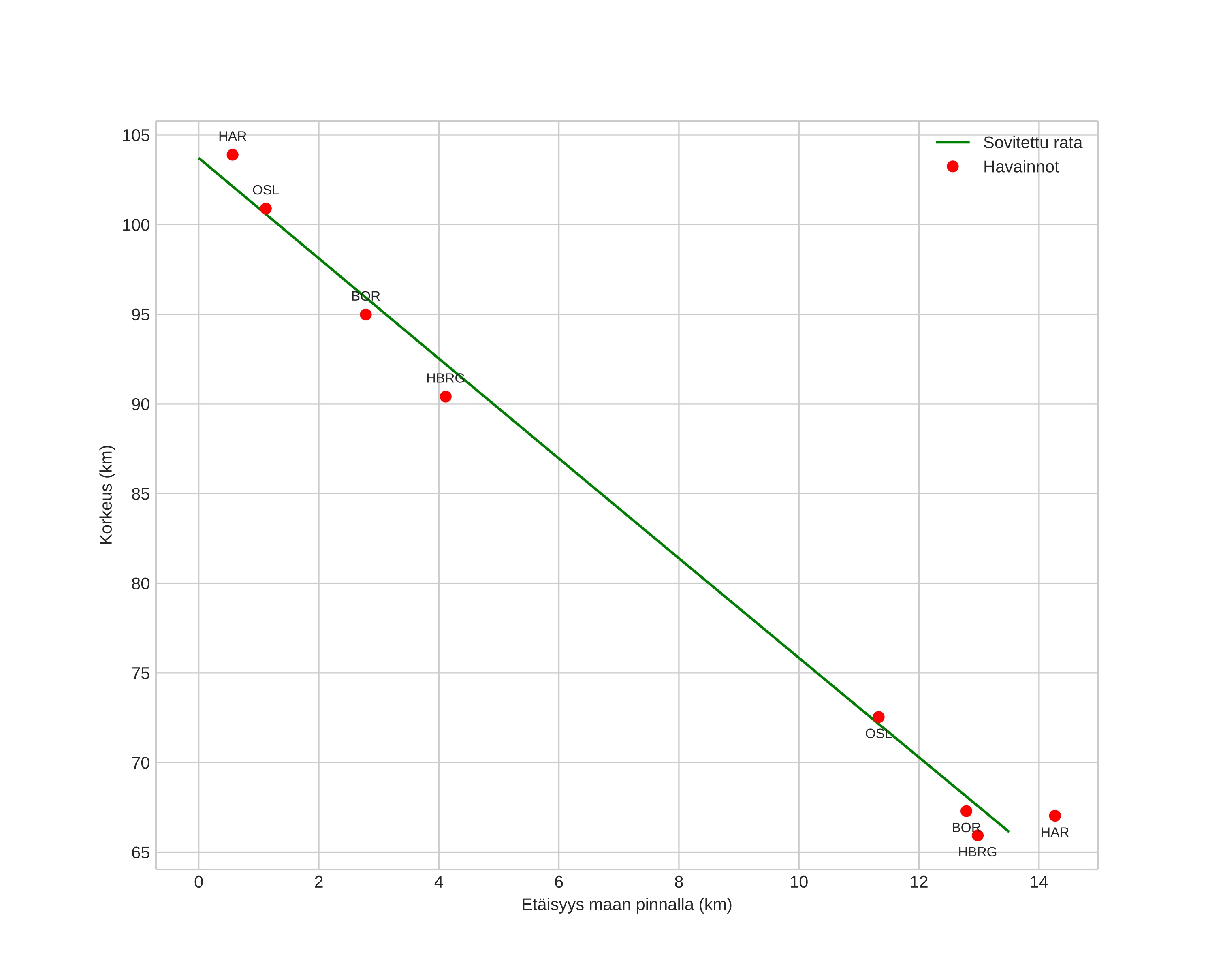
height profile
Meteorin ilmakehärata:
Alkukorkeus: 103,7 km
Loppukorkeus: 66,1 km
Alkupiste: 60,573N 13,261E
Loppupiste: 60,464N 13,151E
Suunta: 206,6°
Kallistuskulma: 70,2°
Tulonopeus: 34,9 km/s
Radiantin R,A,: 14:02 (210,7°)
Radiantin Dekl,: 76,0°
Meteoriparvi: Ursidit
Meteoroidin rataelementit:
Perihelietäisyys: 0,925 AU
Eksentrisyys: 0,784
Inklinaatio: 52,9°
Nousevan solmun pituus: 270,5°
Perihelin argumentti: 210,2°
Keskianomalia: 357,6°
Epookki: 2016 DEC 22 04:35:21
orbit plot

Ei-interaktiivinen kuvaaja | Interaktiivinen kuvaaja

position vs time
speed and acceleration