🇳🇴 🇬🇧 🇩🇪 🇨🇿 🇫🇮

Meteor, poloha: Mjøndalen 2016-12-22 18:45:58 UTC

Gran – 1
Gran – 1
Harestua – 1
Harestua – 1
Harestua – 4
Harestua – 4
Voksenlia – 3
Voksenlia – 3

Soubor KML  | Interaktivní mapa

map

Mapa zobrazuje dráhy meteoru. Světlejší čáry ukazují směry od pozorovacích stanic při objevení se meteoru a tmavší čáry, kde byl naposledy viděn. Modrá šipka značí viditelnou dráhu meteoru.

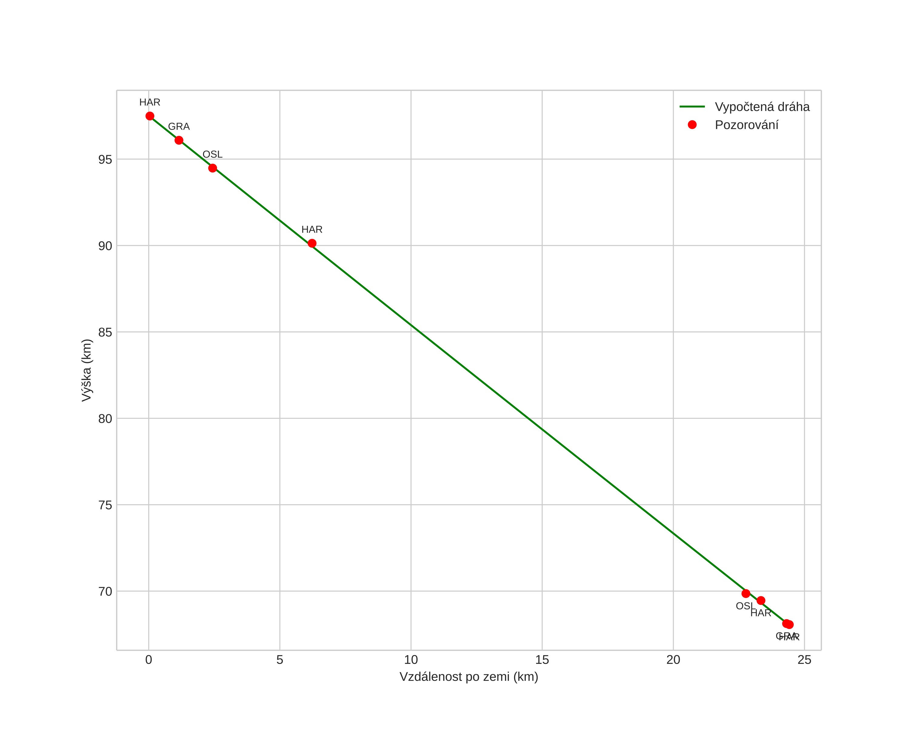
height profile
Atmosférická dráha meteoru:
Počáteční výška: 97,5 km
Konečná výška: 68,0 km
Počáteční poloha: 59,929N 9,947E
Konečná poloha: 59,711N 9,996E
Směr: 173,5°
Sklon: 50,4°
Vstupní rychlost: 34,5 km/s
Rektascenze radiantu: 15:09 (227,4°)
Deklinace radiantu: 78,7°
Meteorický roj: Ursidy
Elementy dráhy meteoroidu:
Vzdálenost v periheliu: 0,940 AU
Excentricita: 0,928
Sklon dráhy: 50,2°
Délka vzestupného uzlu: 271,1°
Argument perihelia: 204,8°
Střední anomálie: 359,6°
Epocha: 2016 DEC 22 18:45:58
orbit

Neinteraktivní graf | Interaktivní graf

position vs time
speed & acceleration