🇳🇴 🇬🇧 🇩🇪 🇨🇿 🇫🇮

Meteor über Mjøndalen 2016-12-22 18:45:58 UTC

Gran – 1
Gran – 1
Harestua – 1
Harestua – 1
Harestua – 4
Harestua – 4
Voksenlia – 3
Voksenlia – 3

KML-Datei  | Interaktive Karte

map

Die Karte zeigt die Peilungen für den Meteor. Die helleren Linien zeigen die Richtungen von den Beobachtungsorten beim Erscheinen des Meteors, und die dunkleren Linien, wo er zuletzt gesehen wurde. Der blaue Pfeil zeigt die sichtbare Bahn des Meteors.

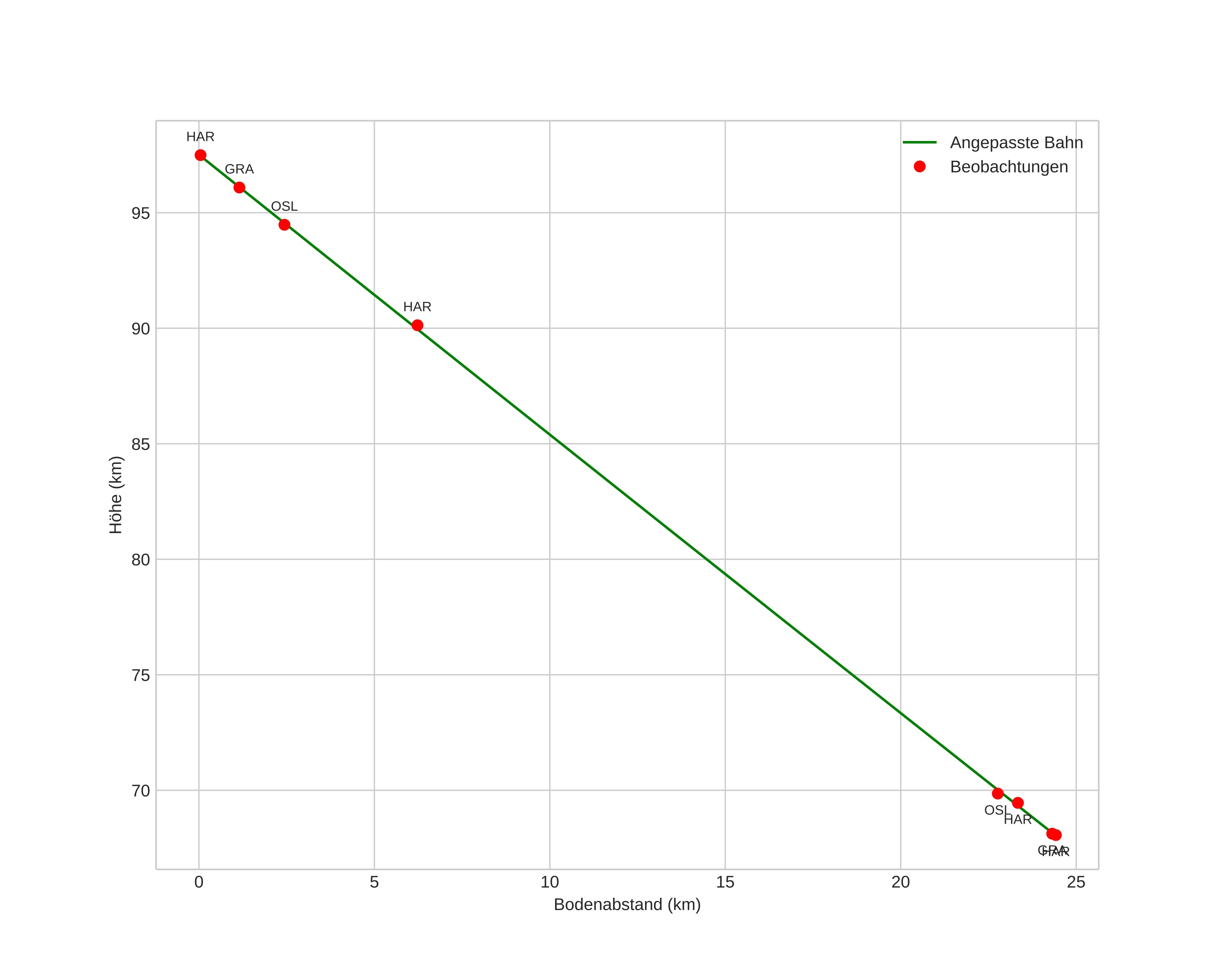
height profile
Atmosphärische Bahn des Meteors:
Anfangshöhe: 97,5 km
Endhöhe: 68,0 km
Startposition: 59,929N 9,947E
Endposition: 59,711N 9,996E
Richtung: 173,5°
Neigungswinkel: 50,4°
Eintrittsgeschwindigkeit: 34,5 km/s
Rektaszension des Radianten: 15:09 (227,4°)
Deklination des Radianten: 78,7°
Meteorstrom: Ursiden
Bahnelemente des Meteoroiden:
Periheldistanz: 0,940 AU
Exzentrizität: 0,928
Inklination: 50,2°
Länge des aufsteigenden Knotens: 271,1°
Argument des Perihels: 204,8°
Mittlere Anomalie: 359,6°
Epoche: 2016 DEC 22 18:45:58
orbit

Nicht-interaktives Diagramm | Interaktives Diagramm

position vs time
speed & acceleration