🇳🇴 🇬🇧 🇩🇪 🇨🇿 🇫🇮

Meteor, poloha: Noresund 2016-12-22 21:40:04 UTC

Soubor KML  |  InteraktivnĂ­ mapa

Mapa zobrazuje dráhy meteoru. Světlejší čáry ukazují směry od pozorovacích stanic při objevení se meteoru a tmavší čáry, kde byl naposledy viděn. Modrá šipka značí viditelnou dráhu meteoru.

static map
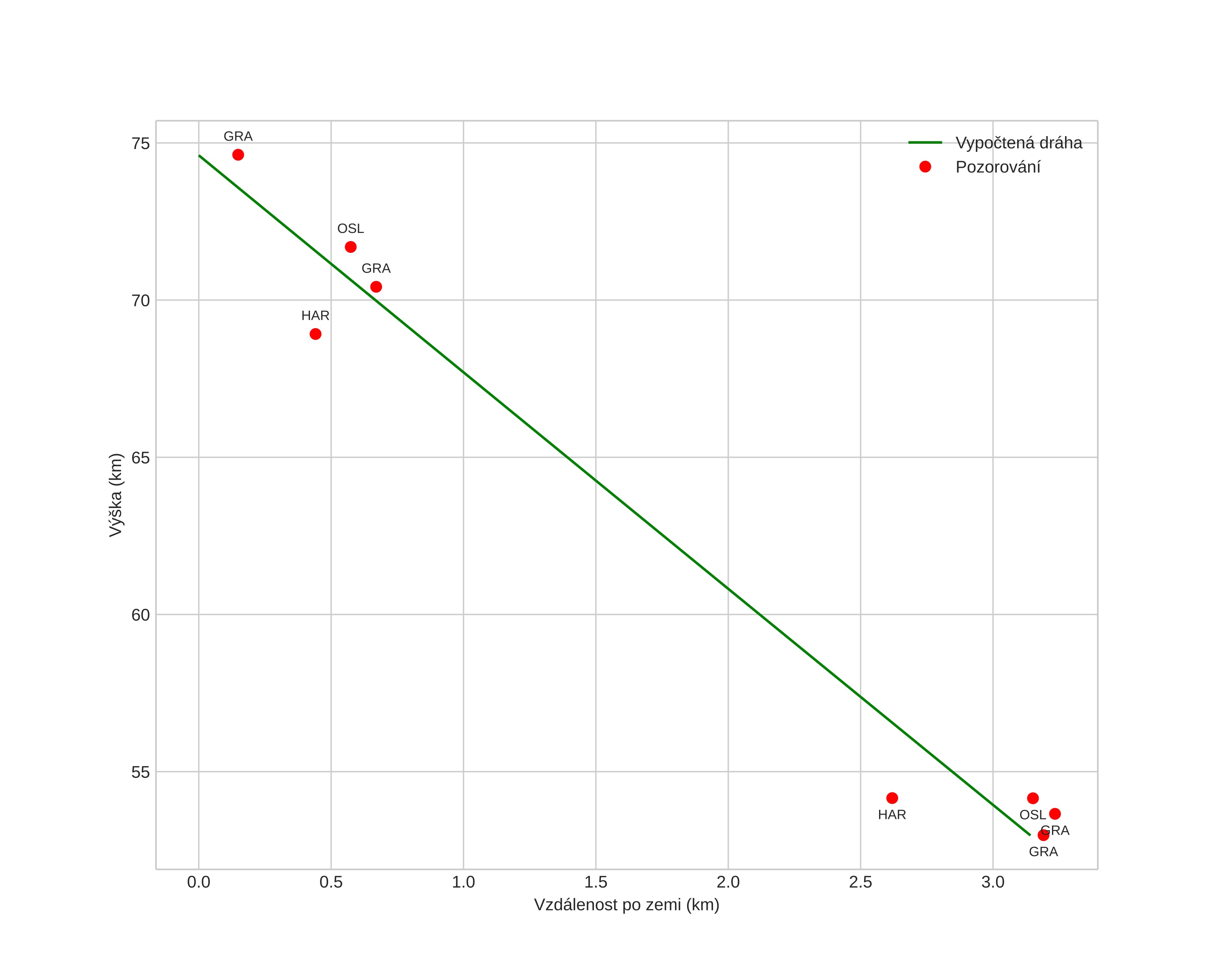
height profile
Atmosférická dráha meteoru:
Počáteční výška: 74,6 km
Konečná výška: 53,0 km
Počáteční poloha: 60,299N 9,755E
Konečná poloha: 60,321N 9,791E
Směr: 39,3°
Sklon: 81,7°
VstupnĂ­ rychlost: 16,6 km/s
Rektascenze radiantu: 03:39 (54,9°)
Deklinace radiantu: 52,2°
MeteorickĂ˝ roj: sporadickĂ˝
Elementy dráhy meteoroidu:
Vzdálenost v periheliu: 0,887 AU
Excentricita: 0,544
Sklon dráhy: 10,6°
Délka vzestupného uzlu: 271,2°
Argument perihelia: 223,8°
Střední anomálie: 348,4°
Epocha: 2016 DEC 22 21:40:04
orbit plot

NeinteraktivnĂ­ graf | InteraktivnĂ­ graf

position vs time
speed and acceleration