🇳🇴 🇬🇧 🇩🇪 🇨🇿 🇫🇮

Meteor Noresundin yllä 2016-12-22 21:40:04 UTC

KML-tiedosto  |  Interaktiivinen kartta

Kartta näyttää meteorin suuntahavainnot. Vaaleammat viivat näyttävät suunnat havaintoasemilta meteorin ilmestyessä, ja tummemmat viivat näyttävät, missä se viimeksi nähtiin. Sininen nuoli näyttää meteorin näkyvän lennon.

static map
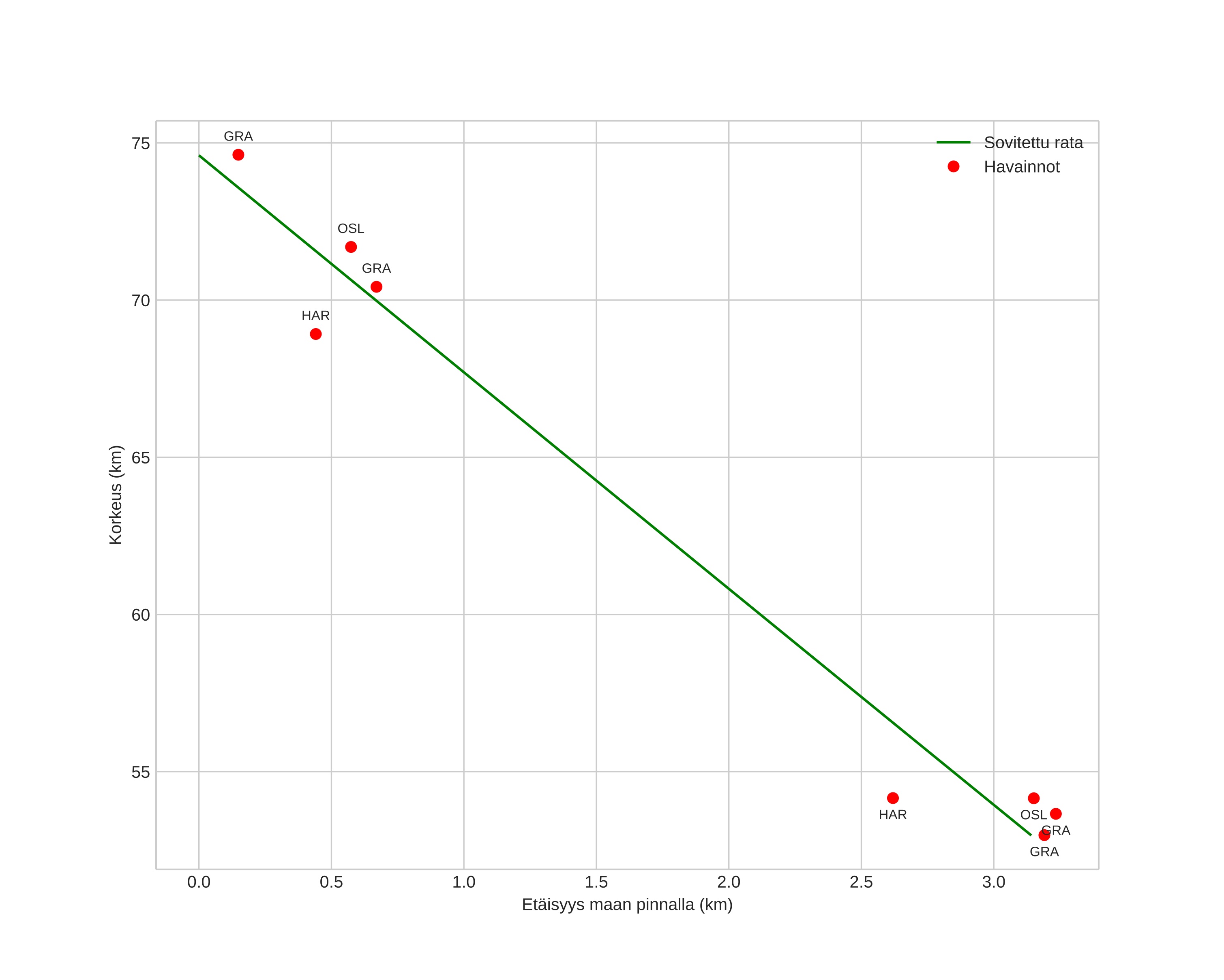
height profile
Meteorin ilmakehärata:
Alkukorkeus: 74,6 km
Loppukorkeus: 53,0 km
Alkupiste: 60,299N 9,755E
Loppupiste: 60,321N 9,791E
Suunta: 39,3°
Kallistuskulma: 81,7°
Tulonopeus: 16,6 km/s
Radiantin R,A,: 03:39 (54,9°)
Radiantin Dekl,: 52,2°
Meteoriparvi: Sporadinen
Meteoroidin rataelementit:
Perihelietäisyys: 0,887 AU
Eksentrisyys: 0,544
Inklinaatio: 10,6°
Nousevan solmun pituus: 271,2°
Perihelin argumentti: 223,8°
Keskianomalia: 348,4°
Epookki: 2016 DEC 22 21:40:04
orbit plot

Ei-interaktiivinen kuvaaja | Interaktiivinen kuvaaja

position vs time
speed and acceleration