🇳🇴 🇬🇧 🇩🇪 🇨🇿 🇫🇮

Meteor, poloha: Ekshärad 2016-12-24 16:38:35 UTC

Soubor KML  |  InteraktivnĂ­ mapa

Mapa zobrazuje dráhy meteoru. Světlejší čáry ukazují směry od pozorovacích stanic při objevení se meteoru a tmavší čáry, kde byl naposledy viděn. Modrá šipka značí viditelnou dráhu meteoru.

static map
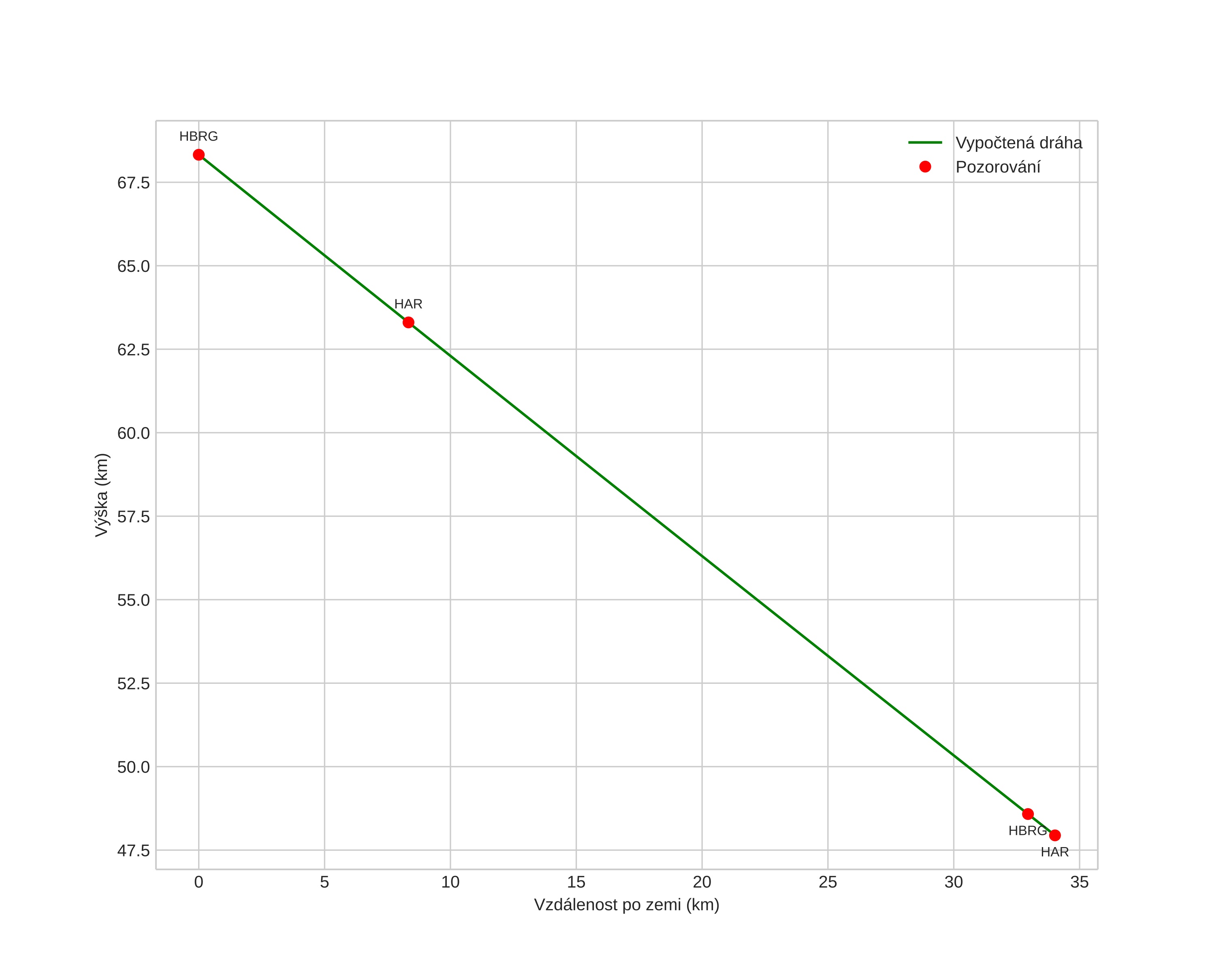
height profile
Atmosférická dráha meteoru:
Počáteční výška: 68,3 km
Konečná výška: 47,9 km
Počáteční poloha: 60,211N 13,603E
Konečná poloha: 60,487N 13,337E
Směr: 334,7°
Sklon: 30,9°
VstupnĂ­ rychlost: 14,2 km/s
Rektascenze radiantu: 01:21 (20,4°)
Deklinace radiantu: -11,4°
MeteorickĂ˝ roj: sporadickĂ˝
Elementy dráhy meteoroidu:
Vzdálenost v periheliu: 0,981 AU
Excentricita: 0,648
Sklon dráhy: 4,1°
Délka vzestupného uzlu: 93,1°
Argument perihelia: 6,4°
Střední anomálie: 359,0°
Epocha: 2016 DEC 24 16:38:35
orbit plot

NeinteraktivnĂ­ graf | InteraktivnĂ­ graf

position vs time
speed and acceleration