🇳🇴 🇬🇧 🇩🇪 🇨🇿 🇫🇮

Meteor Ekshäradin yllä 2016-12-24 16:38:35 UTC

KML-tiedosto  |  Interaktiivinen kartta

Kartta näyttää meteorin suuntahavainnot. Vaaleammat viivat näyttävät suunnat havaintoasemilta meteorin ilmestyessä, ja tummemmat viivat näyttävät, missä se viimeksi nähtiin. Sininen nuoli näyttää meteorin näkyvän lennon.

static map
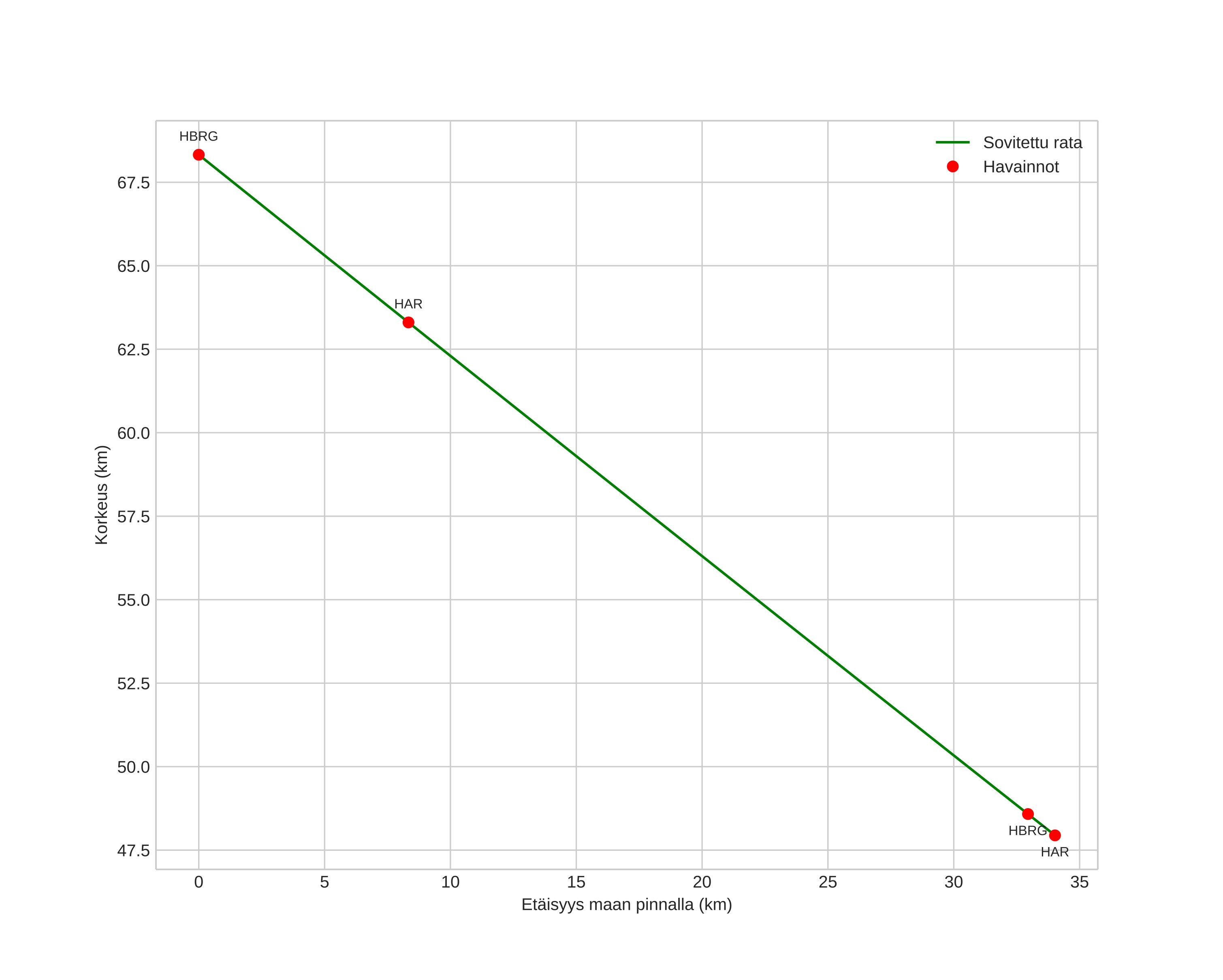
height profile
Meteorin ilmakehärata:
Alkukorkeus: 68,3 km
Loppukorkeus: 47,9 km
Alkupiste: 60,211N 13,603E
Loppupiste: 60,487N 13,337E
Suunta: 334,7°
Kallistuskulma: 30,9°
Tulonopeus: 14,2 km/s
Radiantin R,A,: 01:21 (20,4°)
Radiantin Dekl,: -11,4°
Meteoriparvi: Sporadinen
Meteoroidin rataelementit:
Perihelietäisyys: 0,981 AU
Eksentrisyys: 0,648
Inklinaatio: 4,1°
Nousevan solmun pituus: 93,1°
Perihelin argumentti: 6,4°
Keskianomalia: 359,0°
Epookki: 2016 DEC 24 16:38:35
orbit plot

Ei-interaktiivinen kuvaaja | Interaktiivinen kuvaaja

position vs time
speed and acceleration