🇳🇴 🇬🇧 🇩🇪 🇨🇿 🇫🇮

Meteor, poloha: Munka-Ljungby 2016-12-24 23:56:28 UTC

Soubor KML  |  InteraktivnĂ­ mapa

Mapa zobrazuje dráhy meteoru. Světlejší čáry ukazují směry od pozorovacích stanic při objevení se meteoru a tmavší čáry, kde byl naposledy viděn. Modrá šipka značí viditelnou dráhu meteoru.

static map
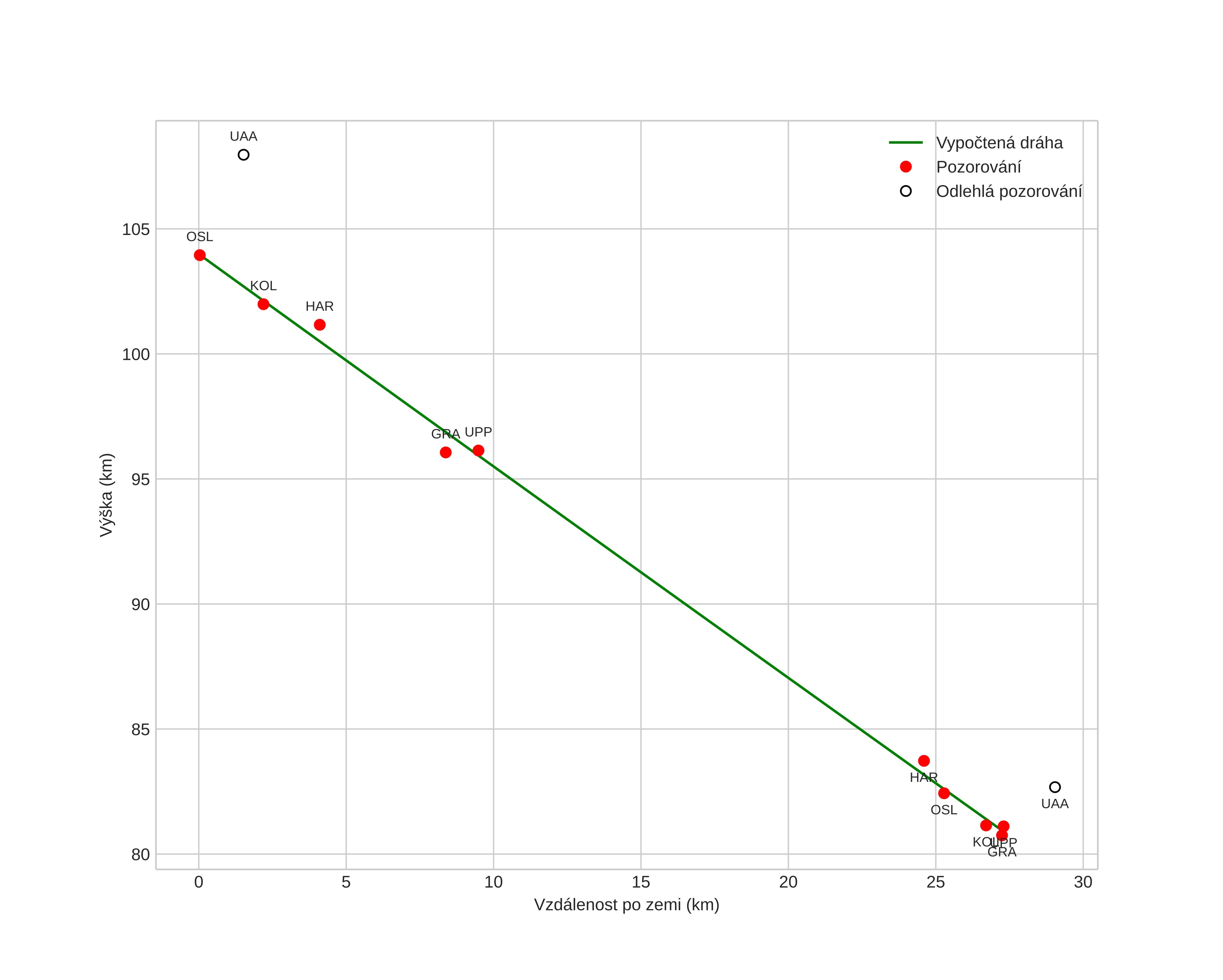
height profile
Atmosférická dráha meteoru:
Počáteční výška: 104,0 km
Konečná výška: 80,9 km
Počáteční poloha: 56,260N 13,446E
Konečná poloha: 56,304N 13,010E
Směr: 280,4°
Sklon: 40,2°
VstupnĂ­ rychlost: 65,1 km/s
Rektascenze radiantu: 10:56 (164,1°)
Deklinace radiantu: 27,2°
MeteorickĂ˝ roj: desember-leonis-minoridene
Elementy dráhy meteoroidu:
Vzdálenost v periheliu: 0,516 AU
Excentricita: 0,997
Sklon dráhy: 137,9°
Délka vzestupného uzlu: 273,4°
Argument perihelia: 267,3°
Střední anomálie: 360,0°
Epocha: 2016 DEC 24 23:56:28
orbit plot

NeinteraktivnĂ­ graf | InteraktivnĂ­ graf

position vs time
speed and acceleration