🇳🇴 🇬🇧 🇩🇪 🇨🇿 🇫🇮

Meteor Munka-Ljungbyn yllä 2016-12-24 23:56:28 UTC

KML-tiedosto  |  Interaktiivinen kartta

Kartta näyttää meteorin suuntahavainnot. Vaaleammat viivat näyttävät suunnat havaintoasemilta meteorin ilmestyessä, ja tummemmat viivat näyttävät, missä se viimeksi nähtiin. Sininen nuoli näyttää meteorin näkyvän lennon.

static map
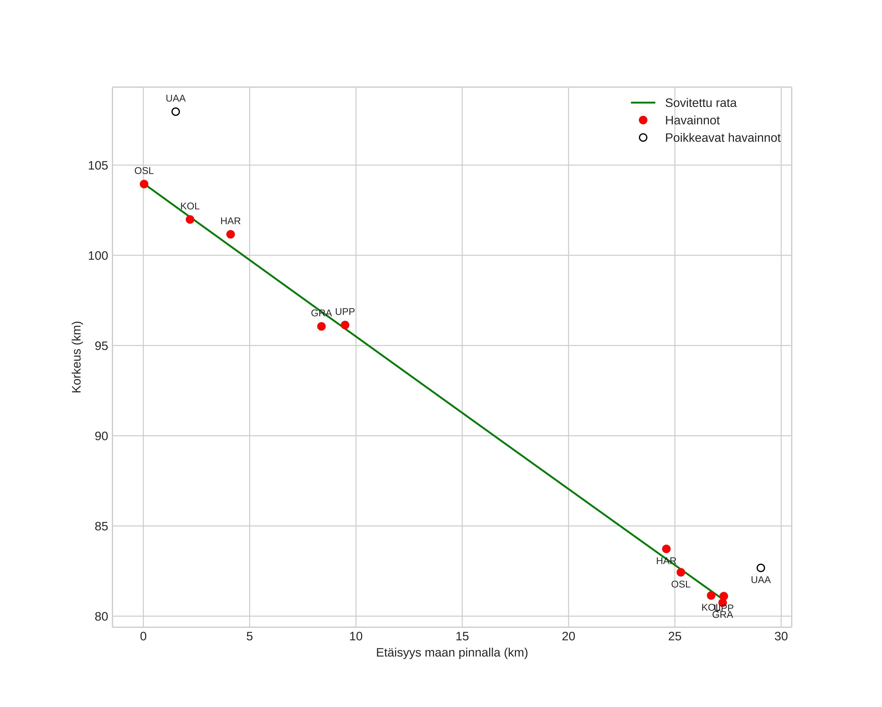
height profile
Meteorin ilmakehärata:
Alkukorkeus: 104,0 km
Loppukorkeus: 80,9 km
Alkupiste: 56,260N 13,446E
Loppupiste: 56,304N 13,010E
Suunta: 280,4°
Kallistuskulma: 40,2°
Tulonopeus: 65,1 km/s
Radiantin R,A,: 10:56 (164,1°)
Radiantin Dekl,: 27,2°
Meteoriparvi: desember-leonis-minoridene
Meteoroidin rataelementit:
Perihelietäisyys: 0,516 AU
Eksentrisyys: 0,997
Inklinaatio: 137,9°
Nousevan solmun pituus: 273,4°
Perihelin argumentti: 267,3°
Keskianomalia: 360,0°
Epookki: 2016 DEC 24 23:56:28
orbit plot

Ei-interaktiivinen kuvaaja | Interaktiivinen kuvaaja

position vs time
speed and acceleration