🇳🇴 🇬🇧 🇩🇪 🇨🇿 🇫🇮

Meteor, poloha: Svebølle 2016-12-25 02:11:10 UTC

Soubor KML  |  InteraktivnĂ­ mapa

Mapa zobrazuje dráhy meteoru. Světlejší čáry ukazují směry od pozorovacích stanic při objevení se meteoru a tmavší čáry, kde byl naposledy viděn. Modrá šipka značí viditelnou dráhu meteoru.

static map
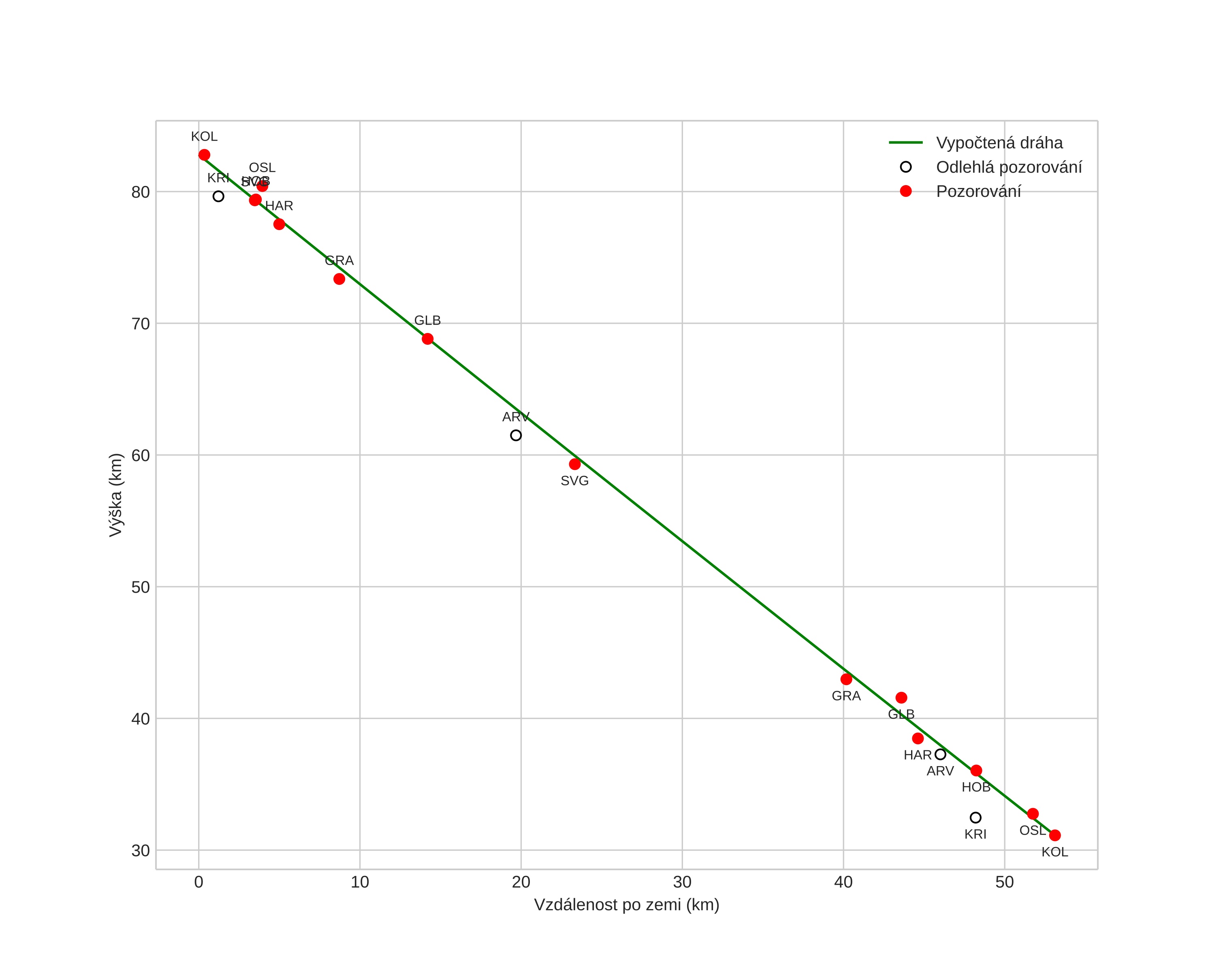
height profile
Atmosférická dráha meteoru:
Počáteční výška: 82,8 km
Konečná výška: 31,1 km
Počáteční poloha: 55,651N 10,450E
Konečná poloha: 55,775N 11,270E
Směr: 74,7°
Sklon: 44,2°
VstupnĂ­ rychlost: 19,6 km/s
Rektascenze radiantu: 05:27 (81,9°)
Deklinace radiantu: 23,9°
MeteorickĂ˝ roj: sporadickĂ˝
Elementy dráhy meteoroidu:
Vzdálenost v periheliu: 0,740 AU
Excentricita: 0,641
Sklon dráhy: 0,3°
Délka vzestupného uzlu: 273,1°
Argument perihelia: 248,9°
Střední anomálie: 345,9°
Epocha: 2016 DEC 25 02:11:10
orbit plot

NeinteraktivnĂ­ graf | InteraktivnĂ­ graf

position vs time
speed and acceleration