🇳🇴 🇬🇧 🇩🇪 🇨🇿 🇫🇮

Meteor Svebøllen yllä 2016-12-25 02:11:10 UTC

KML-tiedosto  |  Interaktiivinen kartta

Kartta näyttää meteorin suuntahavainnot. Vaaleammat viivat näyttävät suunnat havaintoasemilta meteorin ilmestyessä, ja tummemmat viivat näyttävät, missä se viimeksi nähtiin. Sininen nuoli näyttää meteorin näkyvän lennon.

static map
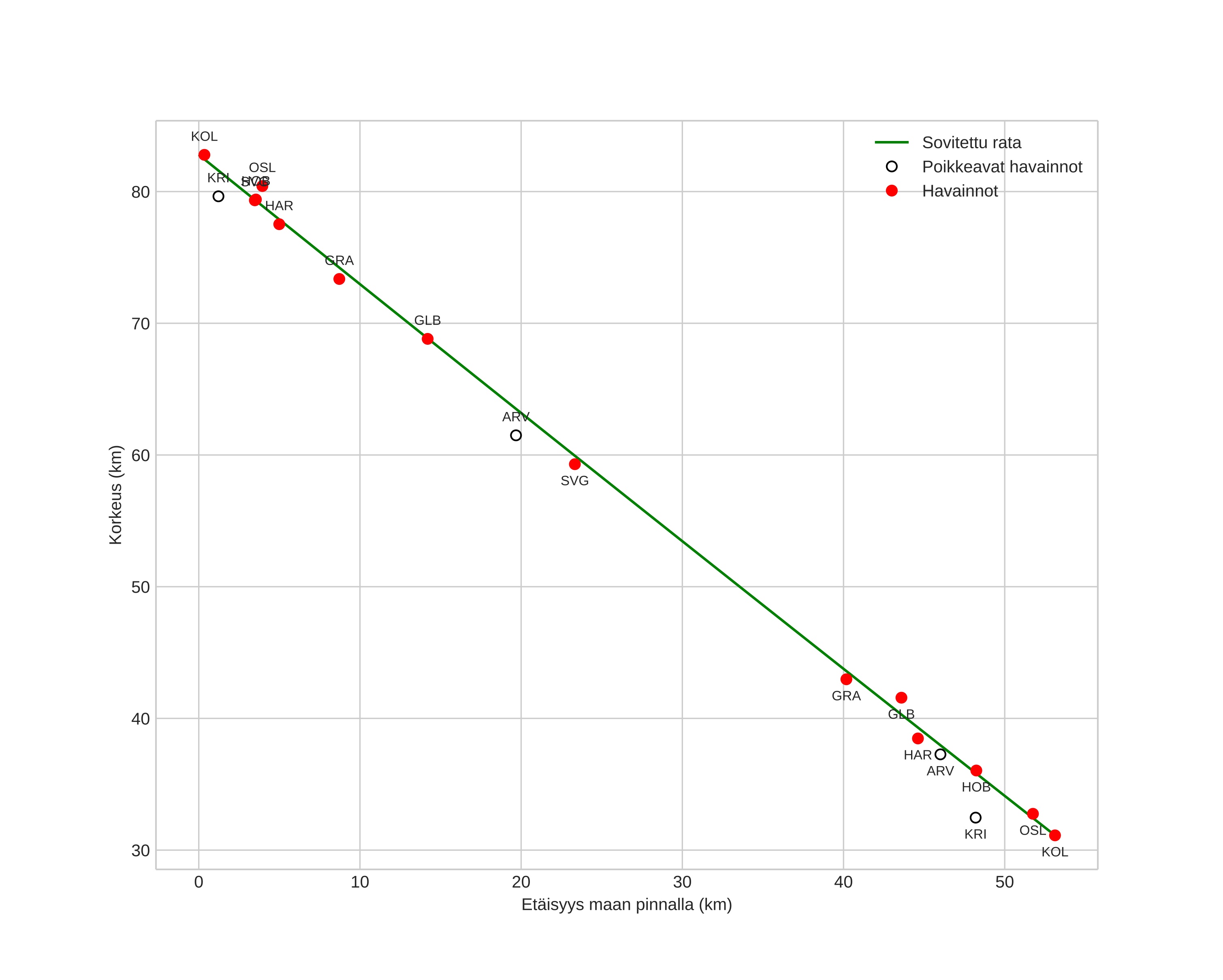
height profile
Meteorin ilmakehärata:
Alkukorkeus: 82,8 km
Loppukorkeus: 31,1 km
Alkupiste: 55,651N 10,450E
Loppupiste: 55,775N 11,270E
Suunta: 74,7°
Kallistuskulma: 44,2°
Tulonopeus: 19,6 km/s
Radiantin R,A,: 05:27 (81,9°)
Radiantin Dekl,: 23,9°
Meteoriparvi: Sporadinen
Meteoroidin rataelementit:
Perihelietäisyys: 0,740 AU
Eksentrisyys: 0,641
Inklinaatio: 0,3°
Nousevan solmun pituus: 273,1°
Perihelin argumentti: 248,9°
Keskianomalia: 345,9°
Epookki: 2016 DEC 25 02:11:10
orbit plot

Ei-interaktiivinen kuvaaja | Interaktiivinen kuvaaja

position vs time
speed and acceleration