🇳🇴 🇬🇧 🇩🇪 🇨🇿 🇫🇮

Meteor, poloha: Ed 2016-12-26 22:41:35 UTC

Soubor KML  |  InteraktivnĂ­ mapa

Mapa zobrazuje dráhy meteoru. Světlejší čáry ukazují směry od pozorovacích stanic při objevení se meteoru a tmavší čáry, kde byl naposledy viděn. Modrá šipka značí viditelnou dráhu meteoru.

static map
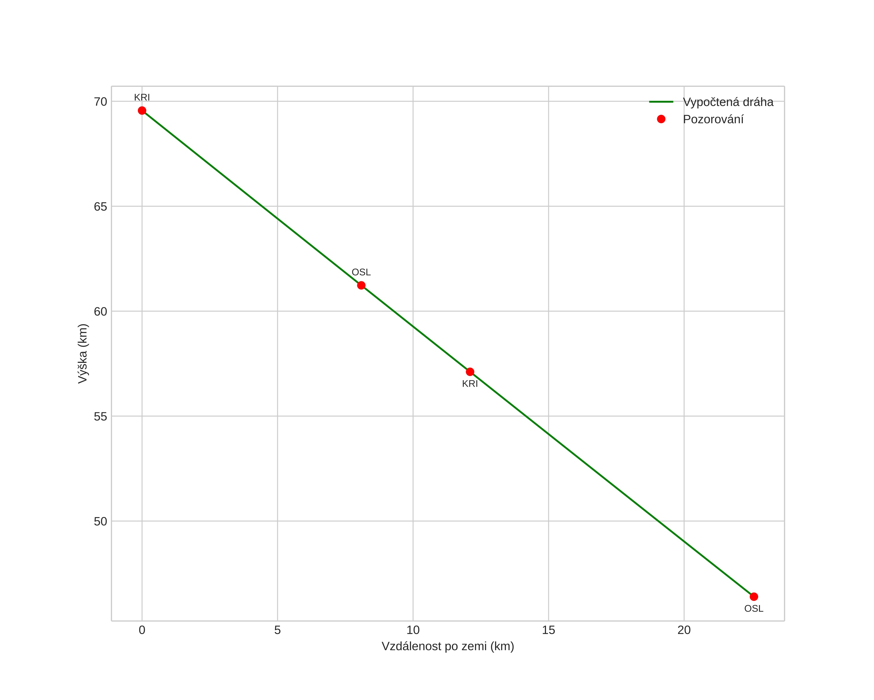
height profile
Atmosférická dráha meteoru:
Počáteční výška: 69,6 km
Konečná výška: 46,4 km
Počáteční poloha: 58,579N 11,610E
Konečná poloha: 58,775N 11,714E
Směr: 15,5°
Sklon: 45,8°
VstupnĂ­ rychlost: 17,1 km/s
Rektascenze radiantu: 04:58 (74,7°)
Deklinace radiantu: 8,8°
MeteorickĂ˝ roj: sporadickĂ˝
Elementy dráhy meteoroidu:
Vzdálenost v periheliu: 0,842 AU
Excentricita: 0,585
Sklon dráhy: 5,1°
Délka vzestupného uzlu: 95,4°
Argument perihelia: 52,3°
Střední anomálie: 347,6°
Epocha: 2016 DEC 26 22:41:35
orbit plot

NeinteraktivnĂ­ graf | InteraktivnĂ­ graf

position vs time
speed and acceleration