🇳🇴 🇬🇧 🇩🇪 🇨🇿 🇫🇮

Meteor Edin yllä 2016-12-26 22:41:35 UTC

KML-tiedosto  |  Interaktiivinen kartta

Kartta näyttää meteorin suuntahavainnot. Vaaleammat viivat näyttävät suunnat havaintoasemilta meteorin ilmestyessä, ja tummemmat viivat näyttävät, missä se viimeksi nähtiin. Sininen nuoli näyttää meteorin näkyvän lennon.

static map
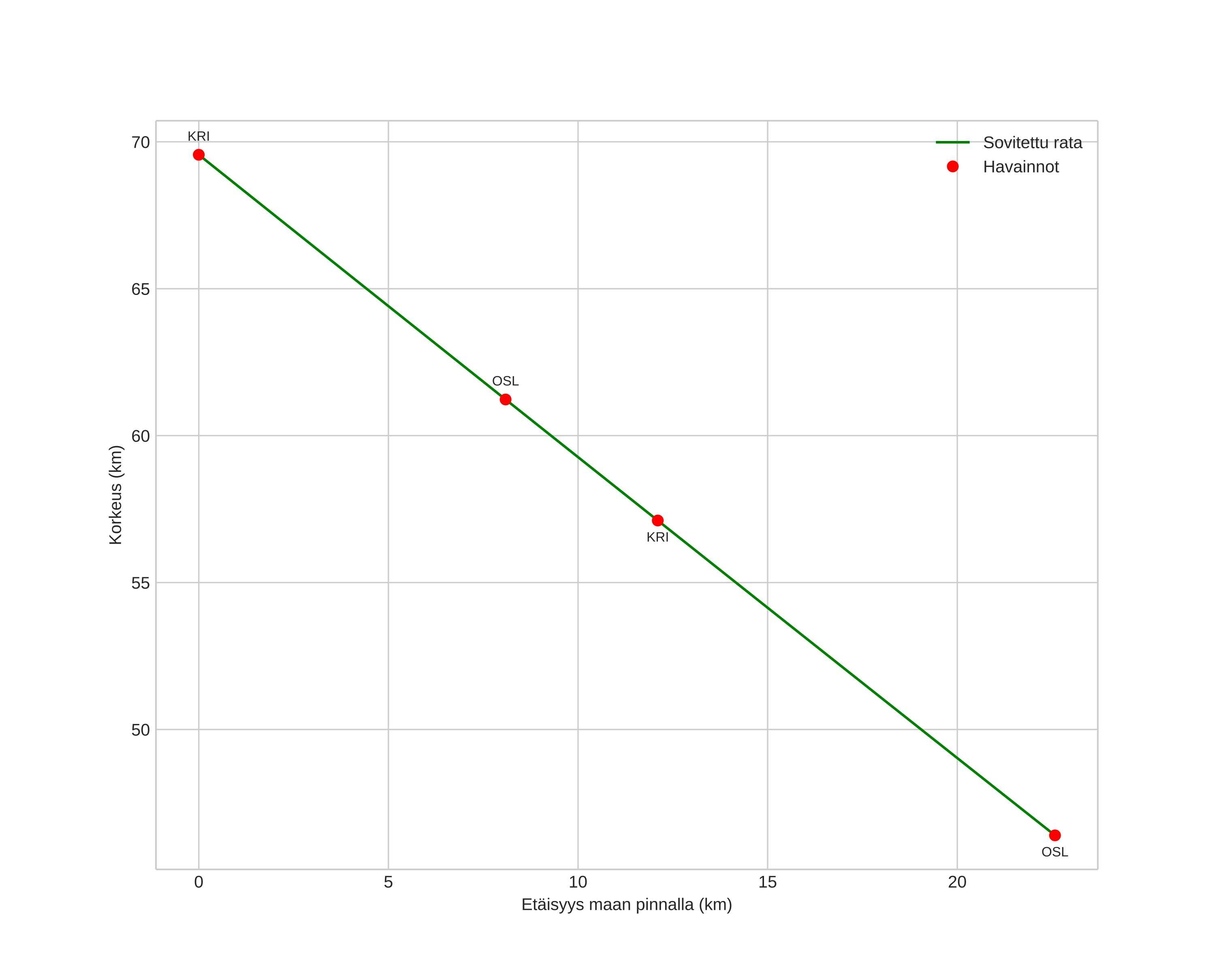
height profile
Meteorin ilmakehärata:
Alkukorkeus: 69,6 km
Loppukorkeus: 46,4 km
Alkupiste: 58,579N 11,610E
Loppupiste: 58,775N 11,714E
Suunta: 15,5°
Kallistuskulma: 45,8°
Tulonopeus: 17,1 km/s
Radiantin R,A,: 04:58 (74,7°)
Radiantin Dekl,: 8,8°
Meteoriparvi: Sporadinen
Meteoroidin rataelementit:
Perihelietäisyys: 0,842 AU
Eksentrisyys: 0,585
Inklinaatio: 5,1°
Nousevan solmun pituus: 95,4°
Perihelin argumentti: 52,3°
Keskianomalia: 347,6°
Epookki: 2016 DEC 26 22:41:35
orbit plot

Ei-interaktiivinen kuvaaja | Interaktiivinen kuvaaja

position vs time
speed and acceleration