🇳🇴 🇬🇧 🇩🇪 🇨🇿 🇫🇮

Meteor, poloha: Teigebyen 2017-01-01 00:06:48 UTC

Soubor KML  |  InteraktivnĂ­ mapa

Mapa zobrazuje dráhy meteoru. Světlejší čáry ukazují směry od pozorovacích stanic při objevení se meteoru a tmavší čáry, kde byl naposledy viděn. Modrá šipka značí viditelnou dráhu meteoru.

static map
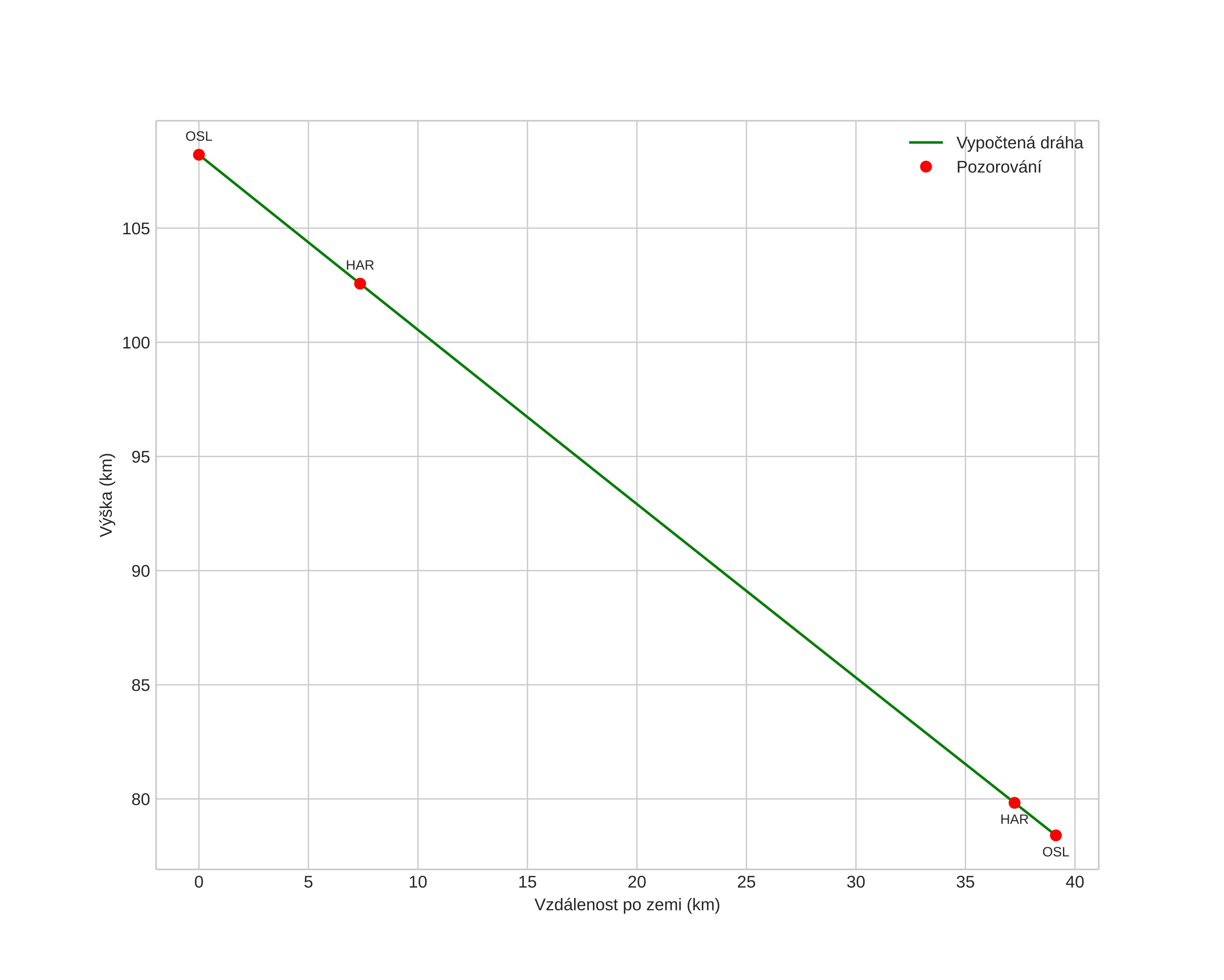
height profile
Atmosférická dráha meteoru:
Počáteční výška: 108,2 km
Konečná výška: 78,4 km
Počáteční poloha: 60,246N 11,620E
Konečná poloha: 60,182N 10,923E
Směr: 259,9°
Sklon: 37,3°
VstupnĂ­ rychlost: 67,3 km/s
Rektascenze radiantu: 12:44 (191,1°)
Deklinace radiantu: 36,4°
MeteorickĂ˝ roj: sporadickĂ˝
Elementy dráhy meteoroidu:
Vzdálenost v periheliu: 0,893 AU
Excentricita: 1,452
Sklon dráhy: 116,5°
Délka vzestupného uzlu: 280,5°
Argument perihelia: 212,4°
Střední anomálie: -6,7°
Epocha: 2017 JAN 01 00:06:48
orbit plot

NeinteraktivnĂ­ graf | InteraktivnĂ­ graf

position vs time
speed and acceleration