🇳🇴 🇬🇧 🇩🇪 🇨🇿 🇫🇮

Meteor über Teigebyen 2017-01-01 00:06:48 UTC

KML-Datei  |  Interaktive Karte

Die Karte zeigt die Peilungen für den Meteor. Die helleren Linien zeigen die Richtungen von den Beobachtungsorten beim Erscheinen des Meteors, und die dunkleren Linien, wo er zuletzt gesehen wurde. Der blaue Pfeil zeigt die sichtbare Bahn des Meteors.

static map
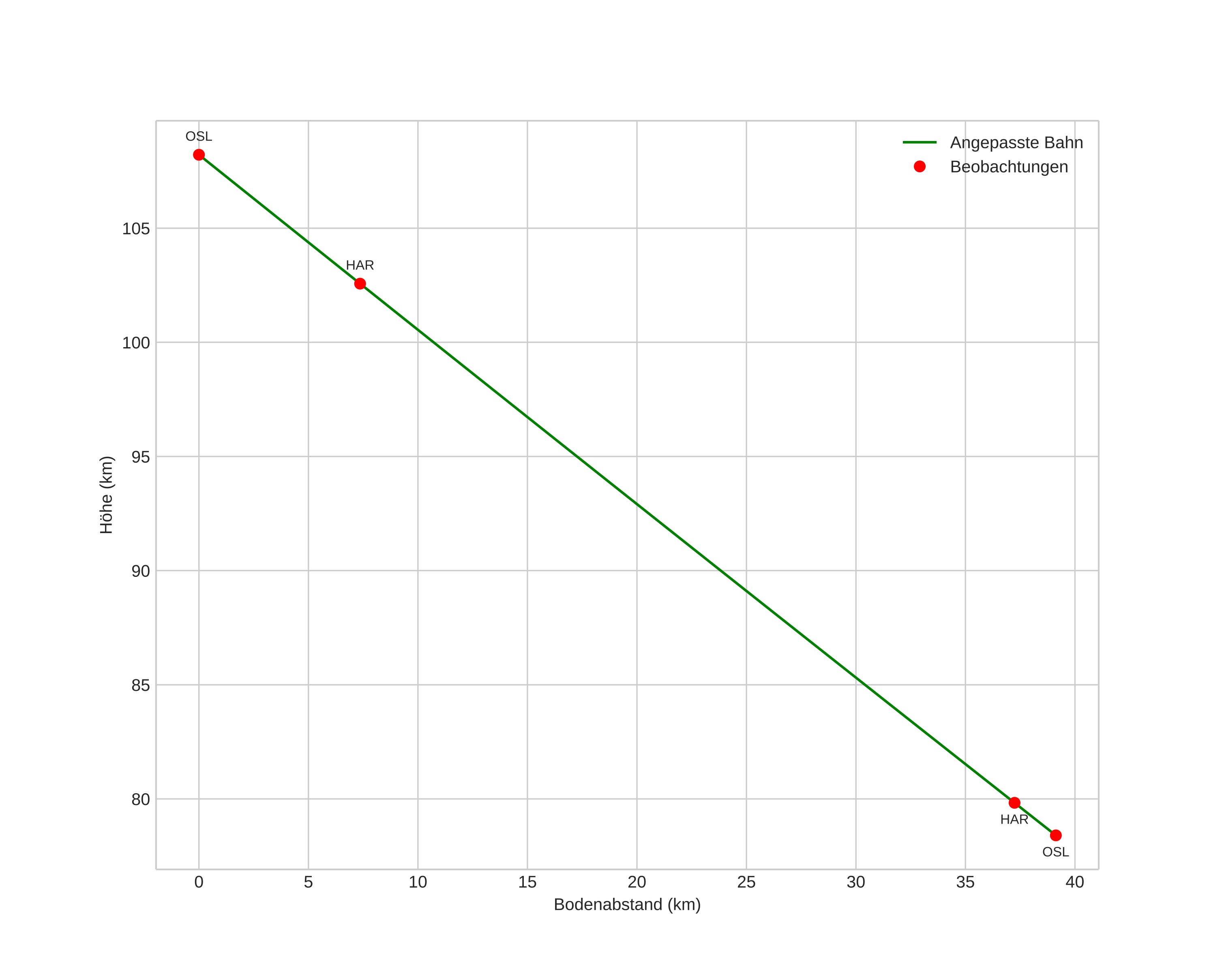
height profile
Atmosphärische Bahn des Meteors:
Anfangshöhe: 108,2 km
Endhöhe: 78,4 km
Startposition: 60,246N 11,620E
Endposition: 60,182N 10,923E
Richtung: 259,9°
Neigungswinkel: 37,3°
Eintrittsgeschwindigkeit: 67,3 km/s
Rektaszension des Radianten: 12:44 (191,1°)
Deklination des Radianten: 36,4°
Meteorstrom: sporadisch
Bahnelemente des Meteoroiden:
Periheldistanz: 0,893 AU
Exzentrizität: 1,452
Inklination: 116,5°
Länge des aufsteigenden Knotens: 280,5°
Argument des Perihels: 212,4°
Mittlere Anomalie: -6,7°
Epoche: 2017 JAN 01 00:06:48
orbit plot

Nicht-interaktives Diagramm | Interaktives Diagramm

position vs time
speed and acceleration