🇳🇴 🇬🇧 🇩🇪 🇨🇿 🇫🇮

Meteor, poloha: Bagn 2017-01-03 16:12:00 UTC

Soubor KML  |  InteraktivnĂ­ mapa

Mapa zobrazuje dráhy meteoru. Světlejší čáry ukazují směry od pozorovacích stanic při objevení se meteoru a tmavší čáry, kde byl naposledy viděn. Modrá šipka značí viditelnou dráhu meteoru.

static map
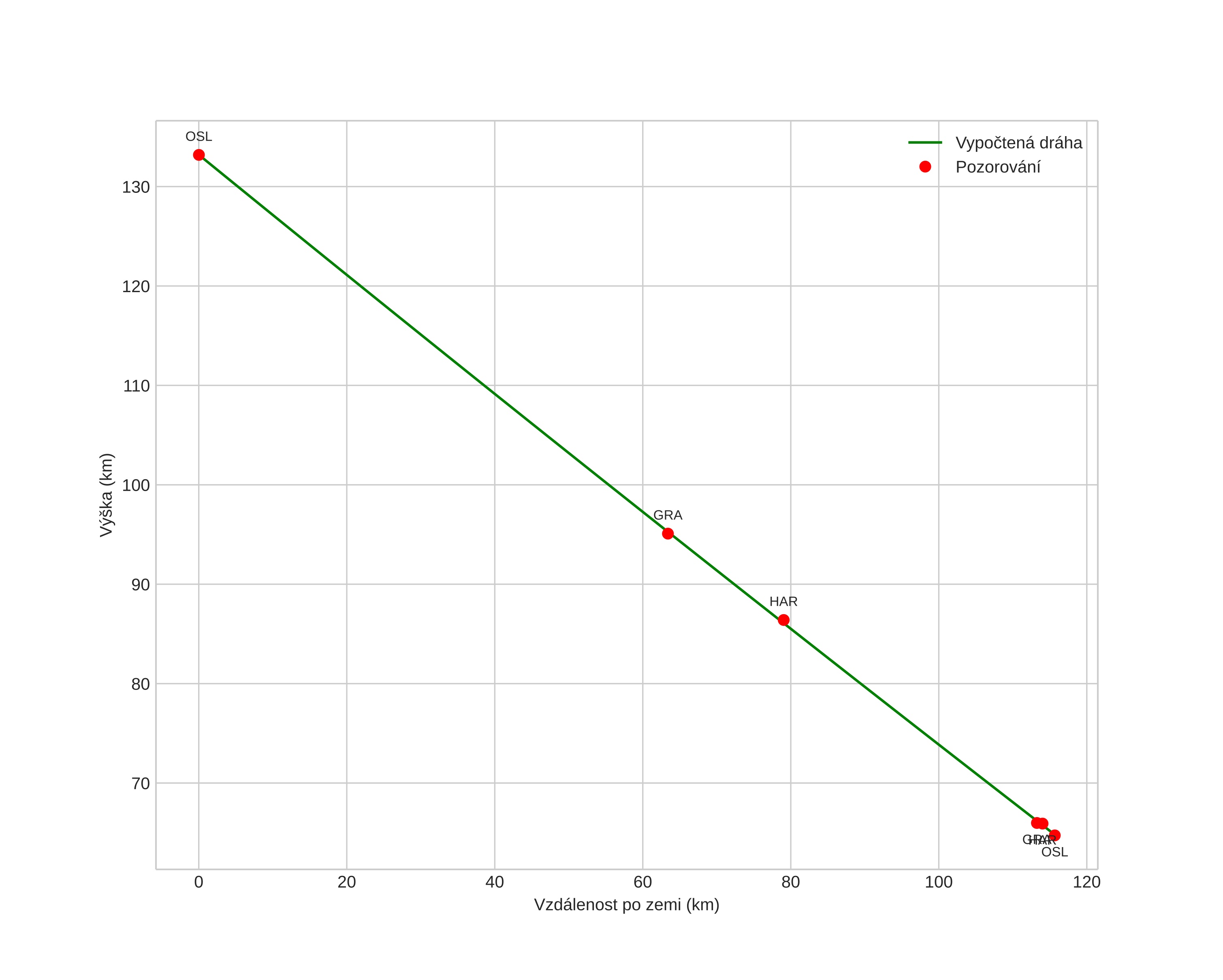
height profile
Atmosférická dráha meteoru:
Počáteční výška: 133,2 km
Konečná výška: 64,8 km
Počáteční poloha: 61,604N 8,173E
Konečná poloha: 60,778N 9,488E
Směr: 141,9°
Sklon: 30,6°
VstupnĂ­ rychlost: 42,3 km/s
Rektascenze radiantu: 15:21 (230,3°)
Deklinace radiantu: 49,2°
MeteorickĂ˝ roj: Kvadrantidy
Elementy dráhy meteoroidu:
Vzdálenost v periheliu: 0,978 AU
Excentricita: 0,657
Sklon dráhy: 71,6°
Délka vzestupného uzlu: 283,3°
Argument perihelia: 170,8°
Střední anomálie: 1,4°
Epocha: 2017 JAN 03 16:12:00
orbit plot

NeinteraktivnĂ­ graf | InteraktivnĂ­ graf

position vs time
speed and acceleration