🇳🇴 🇬🇧 🇩🇪 🇨🇿 🇫🇮

Meteor Bagnin yllä 2017-01-03 16:12:00 UTC

KML-tiedosto  |  Interaktiivinen kartta

Kartta näyttää meteorin suuntahavainnot. Vaaleammat viivat näyttävät suunnat havaintoasemilta meteorin ilmestyessä, ja tummemmat viivat näyttävät, missä se viimeksi nähtiin. Sininen nuoli näyttää meteorin näkyvän lennon.

static map
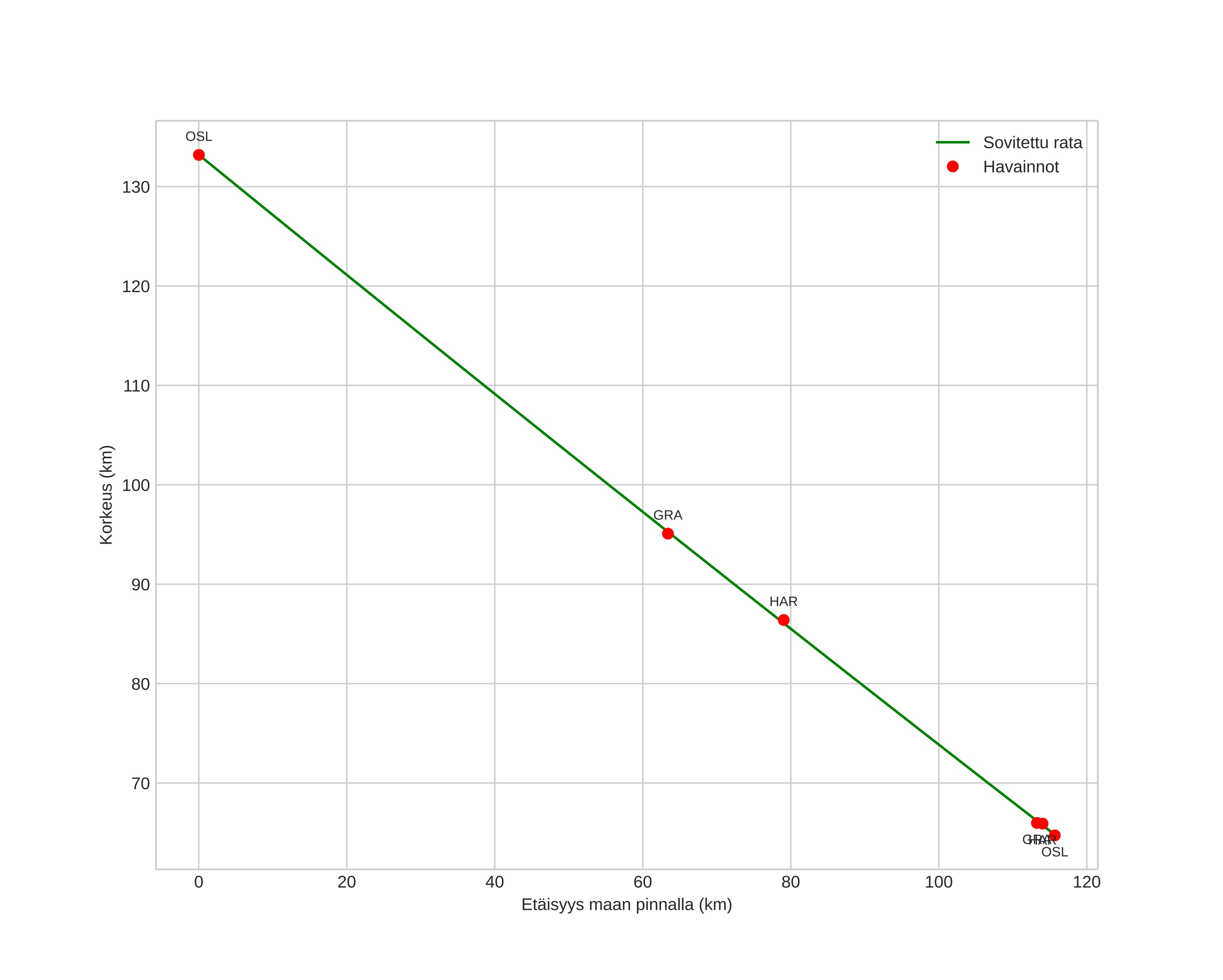
height profile
Meteorin ilmakehärata:
Alkukorkeus: 133,2 km
Loppukorkeus: 64,8 km
Alkupiste: 61,604N 8,173E
Loppupiste: 60,778N 9,488E
Suunta: 141,9°
Kallistuskulma: 30,6°
Tulonopeus: 42,3 km/s
Radiantin R,A,: 15:21 (230,3°)
Radiantin Dekl,: 49,2°
Meteoriparvi: Kvadrantidit
Meteoroidin rataelementit:
Perihelietäisyys: 0,978 AU
Eksentrisyys: 0,657
Inklinaatio: 71,6°
Nousevan solmun pituus: 283,3°
Perihelin argumentti: 170,8°
Keskianomalia: 1,4°
Epookki: 2017 JAN 03 16:12:00
orbit plot

Ei-interaktiivinen kuvaaja | Interaktiivinen kuvaaja

position vs time
speed and acceleration