🇳🇴 🇬🇧 🇩🇪 🇨🇿 🇫🇮

Meteor, poloha: Hvide Sande 2017-01-04 00:23:16 UTC

Soubor KML  |  InteraktivnĂ­ mapa

Mapa zobrazuje dráhy meteoru. Světlejší čáry ukazují směry od pozorovacích stanic při objevení se meteoru a tmavší čáry, kde byl naposledy viděn. Modrá šipka značí viditelnou dráhu meteoru.

static map
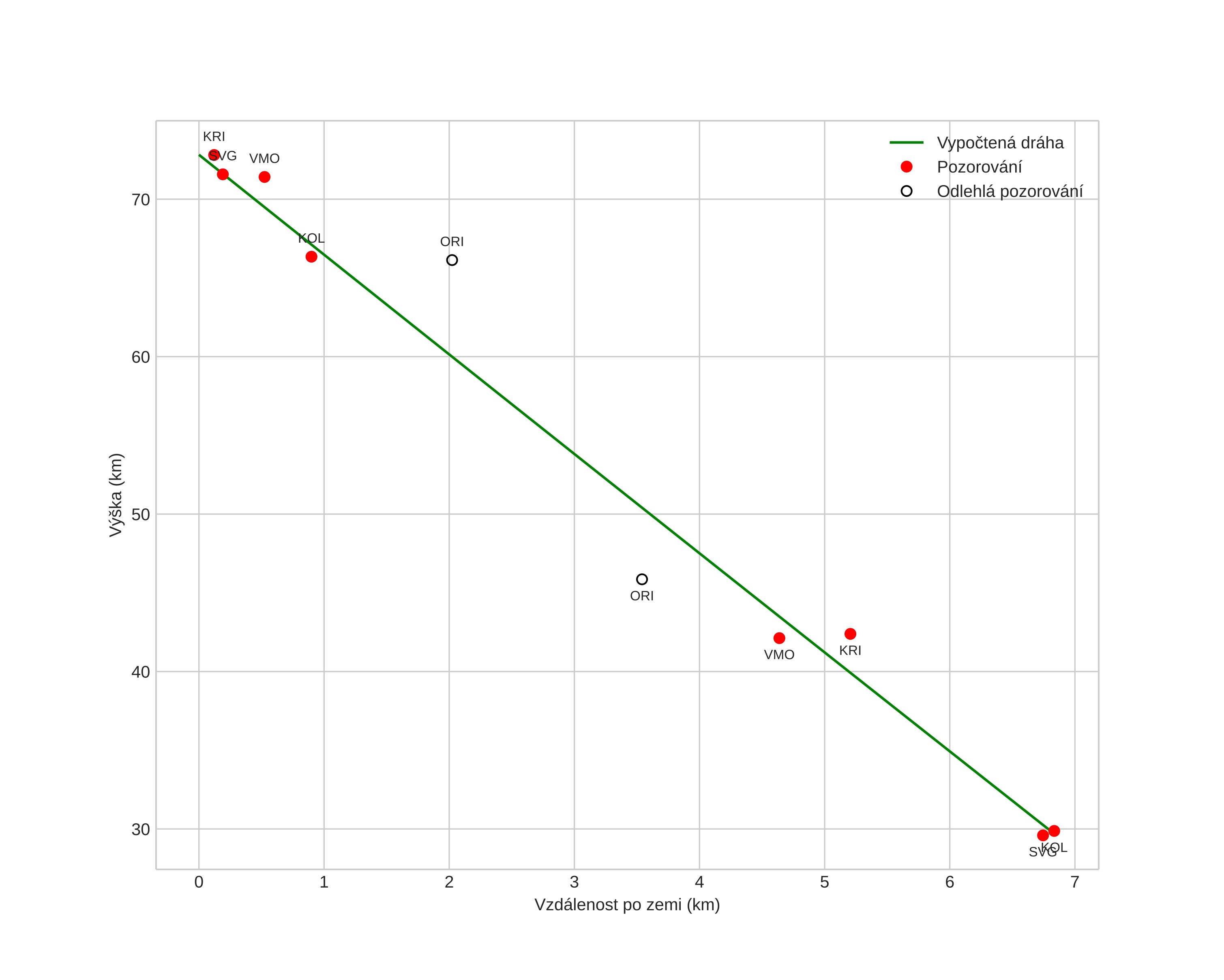
height profile
Atmosférická dráha meteoru:
Počáteční výška: 72,8 km
Konečná výška: 29,6 km
Počáteční poloha: 55,405N 6,871E
Konečná poloha: 55,437N 6,963E
Směr: 58,6°
Sklon: 81,0°
VstupnĂ­ rychlost: 22,0 km/s
Rektascenze radiantu: 06:48 (102,2°)
Deklinace radiantu: 49,3°
MeteorickĂ˝ roj: sporadickĂ˝
Elementy dráhy meteoroidu:
Vzdálenost v periheliu: 0,712 AU
Excentricita: 0,646
Sklon dráhy: 14,9°
Délka vzestupného uzlu: 283,6°
Argument perihelia: 252,7°
Střední anomálie: 344,9°
Epocha: 2017 JAN 04 00:23:16
orbit plot

NeinteraktivnĂ­ graf | InteraktivnĂ­ graf

position vs time
speed and acceleration