🇳🇴 🇬🇧 🇩🇪 🇨🇿 🇫🇮

Meteor Hvide Sanden yllä 2017-01-04 00:23:16 UTC

KML-tiedosto  |  Interaktiivinen kartta

Kartta näyttää meteorin suuntahavainnot. Vaaleammat viivat näyttävät suunnat havaintoasemilta meteorin ilmestyessä, ja tummemmat viivat näyttävät, missä se viimeksi nähtiin. Sininen nuoli näyttää meteorin näkyvän lennon.

static map
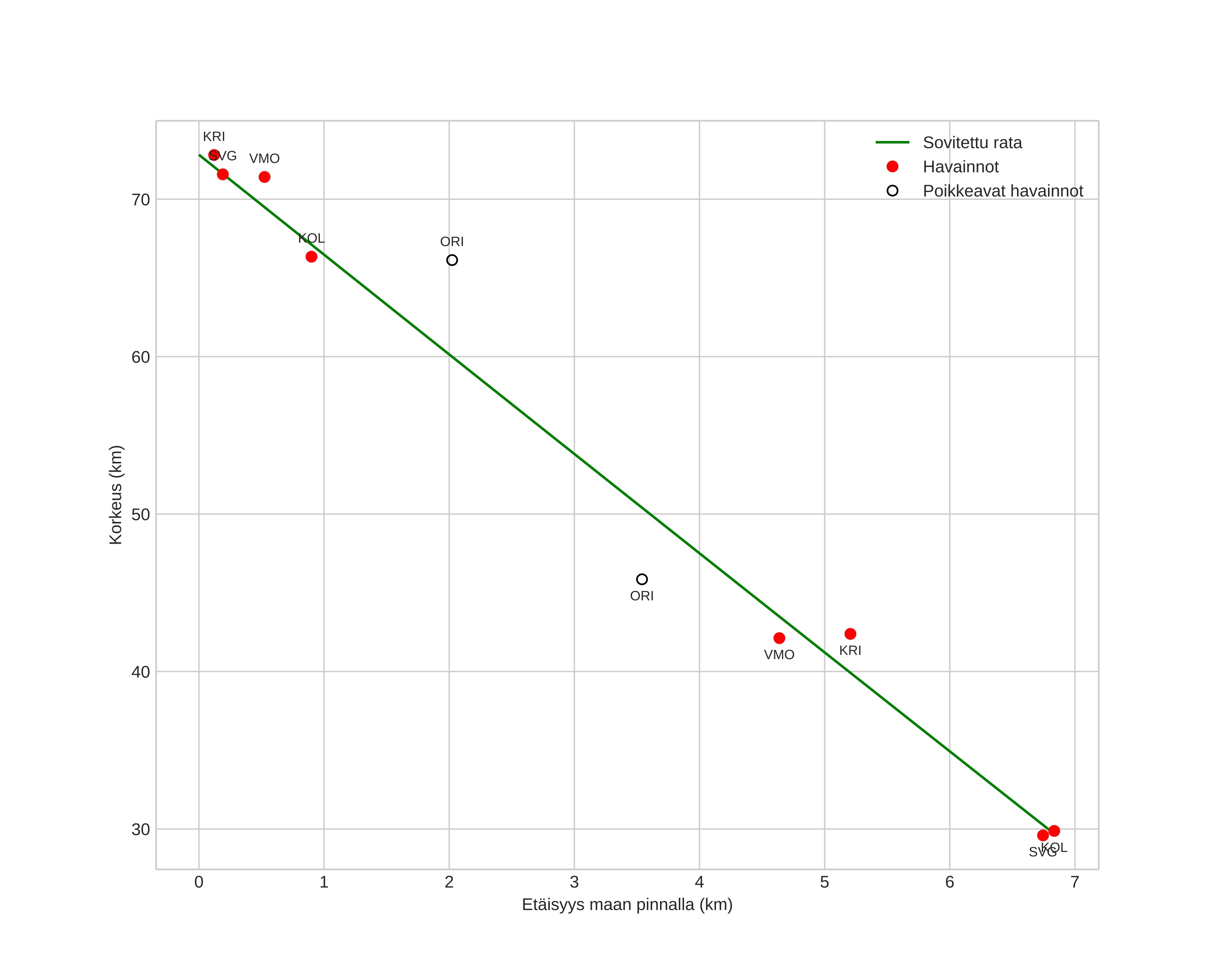
height profile
Meteorin ilmakehärata:
Alkukorkeus: 72,8 km
Loppukorkeus: 29,6 km
Alkupiste: 55,405N 6,871E
Loppupiste: 55,437N 6,963E
Suunta: 58,6°
Kallistuskulma: 81,0°
Tulonopeus: 22,0 km/s
Radiantin R,A,: 06:48 (102,2°)
Radiantin Dekl,: 49,3°
Meteoriparvi: Sporadinen
Meteoroidin rataelementit:
Perihelietäisyys: 0,712 AU
Eksentrisyys: 0,646
Inklinaatio: 14,9°
Nousevan solmun pituus: 283,6°
Perihelin argumentti: 252,7°
Keskianomalia: 344,9°
Epookki: 2017 JAN 04 00:23:16
orbit plot

Ei-interaktiivinen kuvaaja | Interaktiivinen kuvaaja

position vs time
speed and acceleration