🇳🇴 🇬🇧 🇩🇪 🇨🇿 🇫🇮

Meteor, poloha: Munkedal 2017-01-04 17:35:36 UTC

Soubor KML  |  InteraktivnĂ­ mapa

Mapa zobrazuje dráhy meteoru. Světlejší čáry ukazují směry od pozorovacích stanic při objevení se meteoru a tmavší čáry, kde byl naposledy viděn. Modrá šipka značí viditelnou dráhu meteoru.

static map
height profile
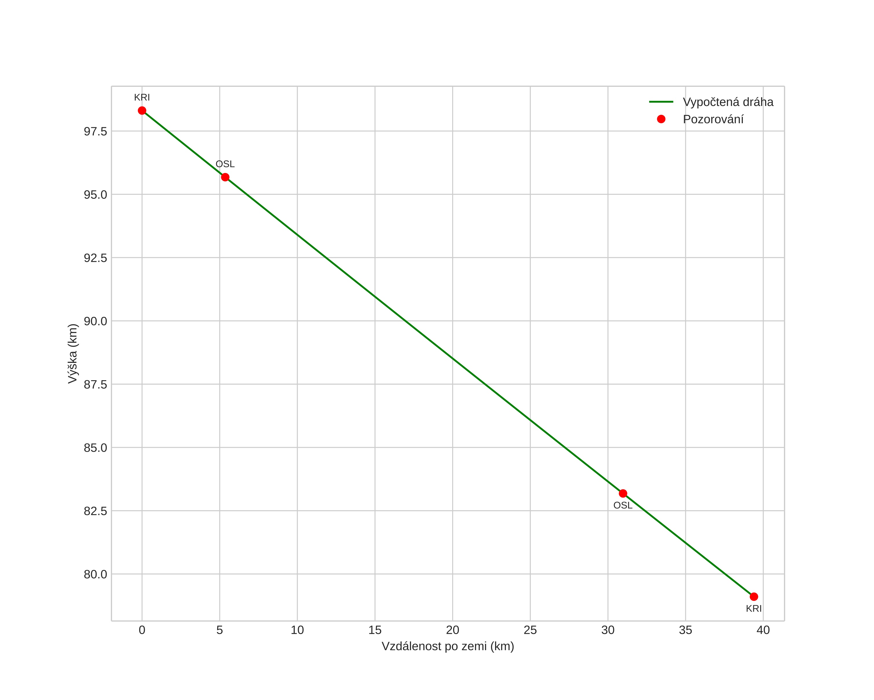
Atmosférická dráha meteoru:
Počáteční výška: 98,3 km
Konečná výška: 79,1 km
Počáteční poloha: 58,452N 12,433E
Konečná poloha: 58,389N 11,767E
Směr: 260,0°
Sklon: 26,0°
VstupnĂ­ rychlost: 28,5 km/s
Rektascenze radiantu: 07:04 (106,1°)
Deklinace radiantu: 24,8°
MeteorickĂ˝ roj: sporadickĂ˝
Elementy dráhy meteoroidu:
Vzdálenost v periheliu: 0,531 AU
Excentricita: 0,871
Sklon dráhy: 1,9°
Délka vzestupného uzlu: 284,3°
Argument perihelia: 269,3°
Střední anomálie: 355,1°
Epocha: 2017 JAN 04 17:35:36
orbit plot

NeinteraktivnĂ­ graf | InteraktivnĂ­ graf

position vs time
speed and acceleration