🇳🇴 🇬🇧 🇩🇪 🇨🇿 🇫🇮

Meteor Munkedalin yllä 2017-01-04 17:35:36 UTC

KML-tiedosto  |  Interaktiivinen kartta

Kartta näyttää meteorin suuntahavainnot. Vaaleammat viivat näyttävät suunnat havaintoasemilta meteorin ilmestyessä, ja tummemmat viivat näyttävät, missä se viimeksi nähtiin. Sininen nuoli näyttää meteorin näkyvän lennon.

static map
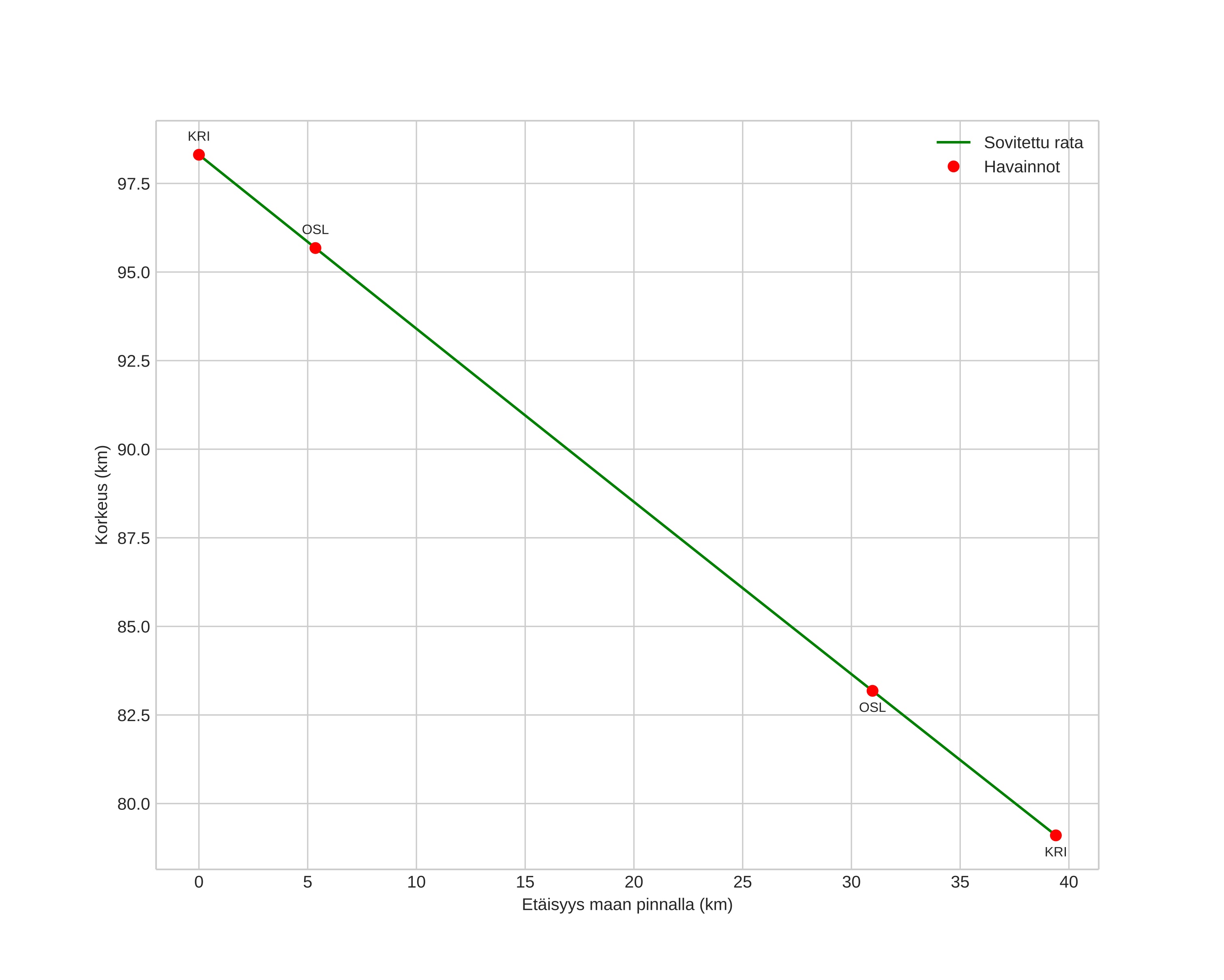
height profile
Meteorin ilmakehärata:
Alkukorkeus: 98,3 km
Loppukorkeus: 79,1 km
Alkupiste: 58,452N 12,433E
Loppupiste: 58,389N 11,767E
Suunta: 260,0°
Kallistuskulma: 26,0°
Tulonopeus: 28,5 km/s
Radiantin R,A,: 07:04 (106,1°)
Radiantin Dekl,: 24,8°
Meteoriparvi: Sporadinen
Meteoroidin rataelementit:
Perihelietäisyys: 0,531 AU
Eksentrisyys: 0,871
Inklinaatio: 1,9°
Nousevan solmun pituus: 284,3°
Perihelin argumentti: 269,3°
Keskianomalia: 355,1°
Epookki: 2017 JAN 04 17:35:36
orbit plot

Ei-interaktiivinen kuvaaja | Interaktiivinen kuvaaja

position vs time
speed and acceleration