🇳🇴 🇬🇧 🇩🇪 🇨🇿 🇫🇮

Meteor, poloha: Vestbygd 2017-01-14 00:31:19 UTC

Soubor KML  |  InteraktivnĂ­ mapa

Mapa zobrazuje dráhy meteoru. Světlejší čáry ukazují směry od pozorovacích stanic při objevení se meteoru a tmavší čáry, kde byl naposledy viděn. Modrá šipka značí viditelnou dráhu meteoru.

static map
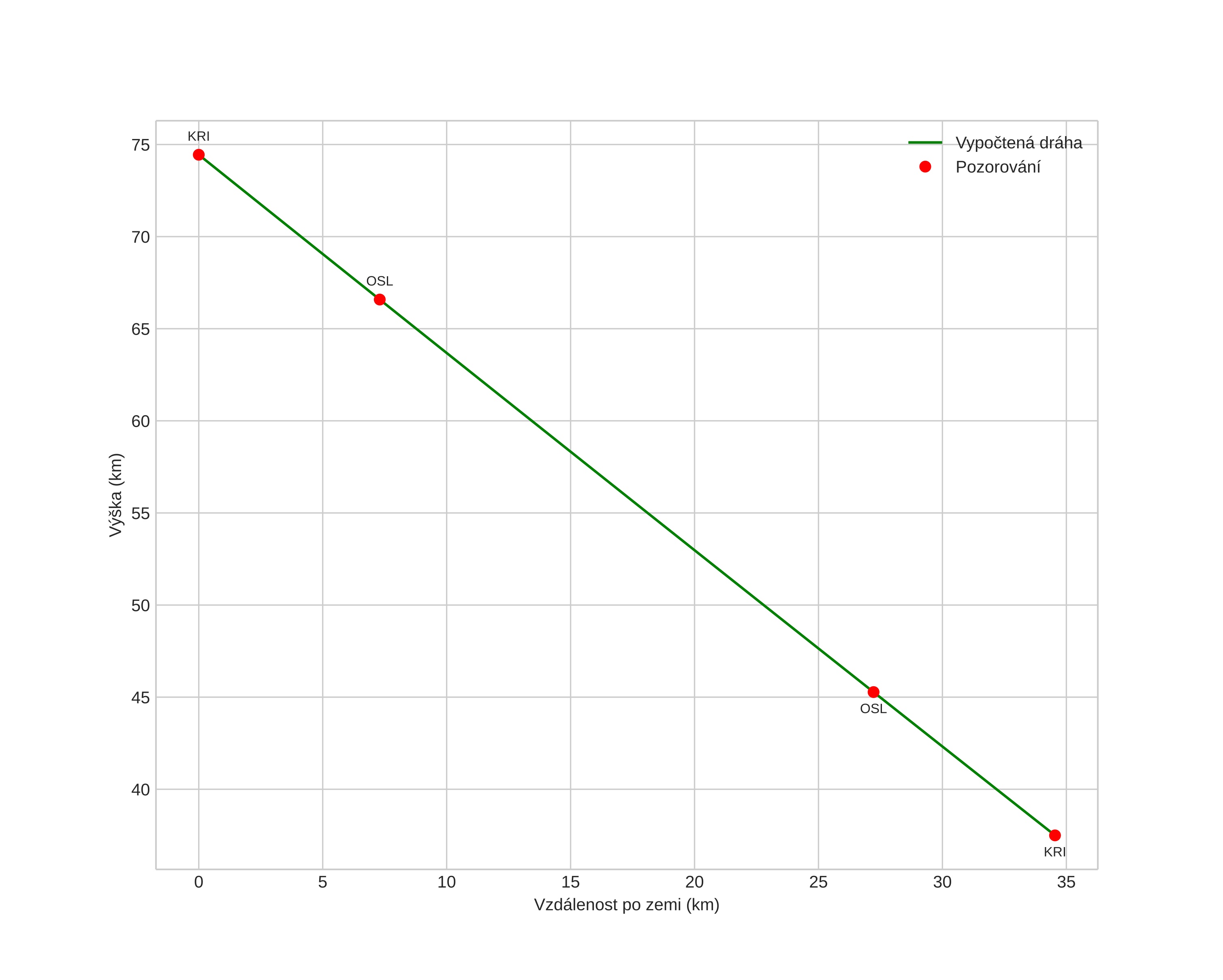
height profile
Atmosférická dráha meteoru:
Počáteční výška: 74,4 km
Konečná výška: 37,5 km
Počáteční poloha: 56,986N 5,599E
Konečná poloha: 57,112N 6,121E
Směr: 66,0°
Sklon: 46,9°
VstupnĂ­ rychlost: 15,0 km/s
Rektascenze radiantu: 05:04 (76,2°)
Deklinace radiantu: 19,6°
MeteorickĂ˝ roj: sporadickĂ˝
Elementy dráhy meteoroidu:
Vzdálenost v periheliu: 0,919 AU
Excentricita: 0,573
Sklon dráhy: 0,9°
Délka vzestupného uzlu: 113,9°
Argument perihelia: 34,7°
Střední anomálie: 351,9°
Epocha: 2017 JAN 14 00:31:19
orbit plot

NeinteraktivnĂ­ graf | InteraktivnĂ­ graf

position vs time
speed and acceleration