🇳🇴 🇬🇧 🇩🇪 🇨🇿 🇫🇮

Meteor Vestbygdin yllä 2017-01-14 00:31:19 UTC

KML-tiedosto  |  Interaktiivinen kartta

Kartta näyttää meteorin suuntahavainnot. Vaaleammat viivat näyttävät suunnat havaintoasemilta meteorin ilmestyessä, ja tummemmat viivat näyttävät, missä se viimeksi nähtiin. Sininen nuoli näyttää meteorin näkyvän lennon.

static map
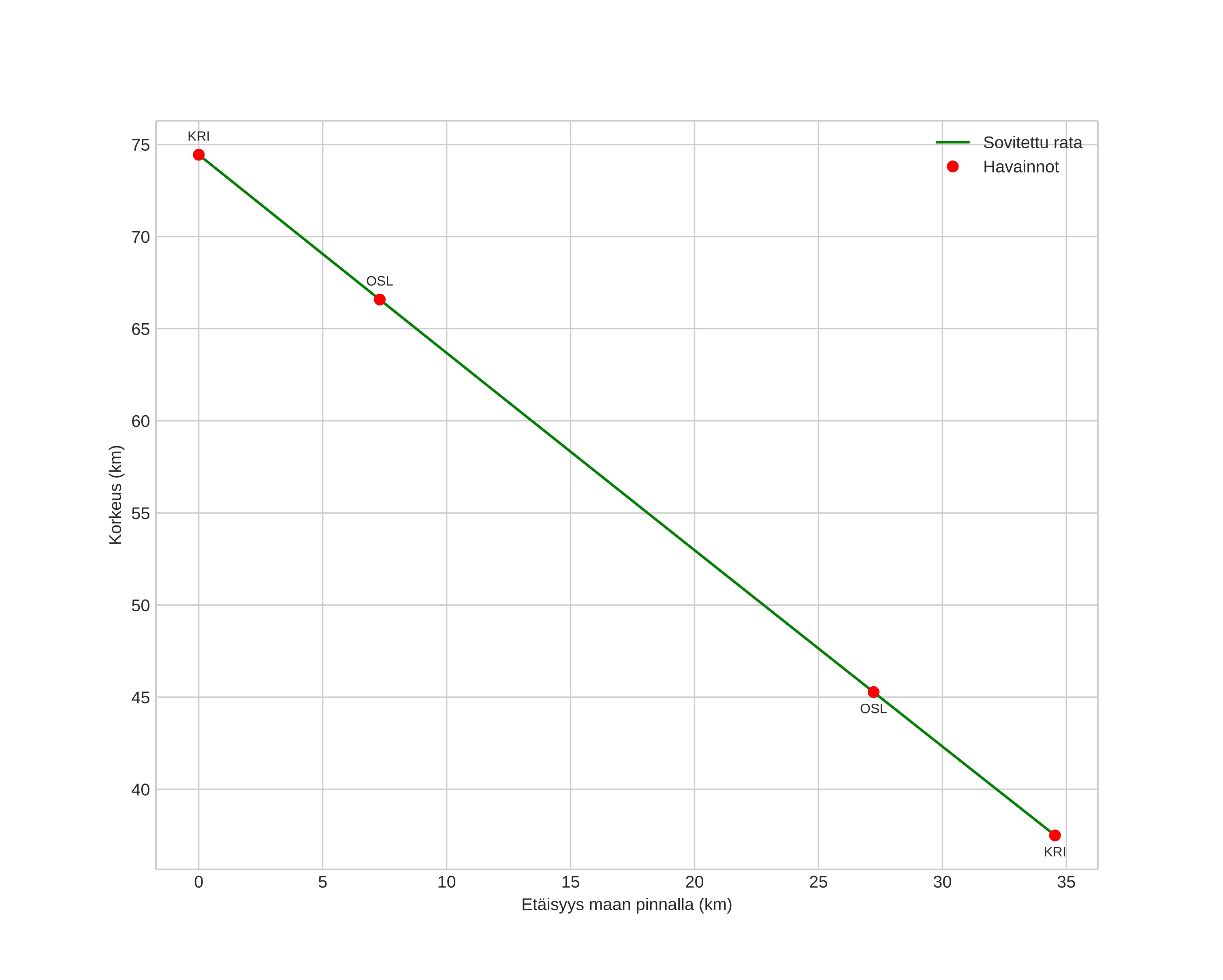
height profile
Meteorin ilmakehärata:
Alkukorkeus: 74,4 km
Loppukorkeus: 37,5 km
Alkupiste: 56,986N 5,599E
Loppupiste: 57,112N 6,121E
Suunta: 66,0°
Kallistuskulma: 46,9°
Tulonopeus: 15,0 km/s
Radiantin R,A,: 05:04 (76,2°)
Radiantin Dekl,: 19,6°
Meteoriparvi: Sporadinen
Meteoroidin rataelementit:
Perihelietäisyys: 0,919 AU
Eksentrisyys: 0,573
Inklinaatio: 0,9°
Nousevan solmun pituus: 113,9°
Perihelin argumentti: 34,7°
Keskianomalia: 351,9°
Epookki: 2017 JAN 14 00:31:19
orbit plot

Ei-interaktiivinen kuvaaja | Interaktiivinen kuvaaja

position vs time
speed and acceleration