🇳🇴 🇬🇧 🇩🇪 🇨🇿 🇫🇮

Meteor, poloha: Älvdalen 2017-01-16 16:25:33 UTC

Soubor KML  |  InteraktivnĂ­ mapa

Mapa zobrazuje dráhy meteoru. Světlejší čáry ukazují směry od pozorovacích stanic při objevení se meteoru a tmavší čáry, kde byl naposledy viděn. Modrá šipka značí viditelnou dráhu meteoru.

static map
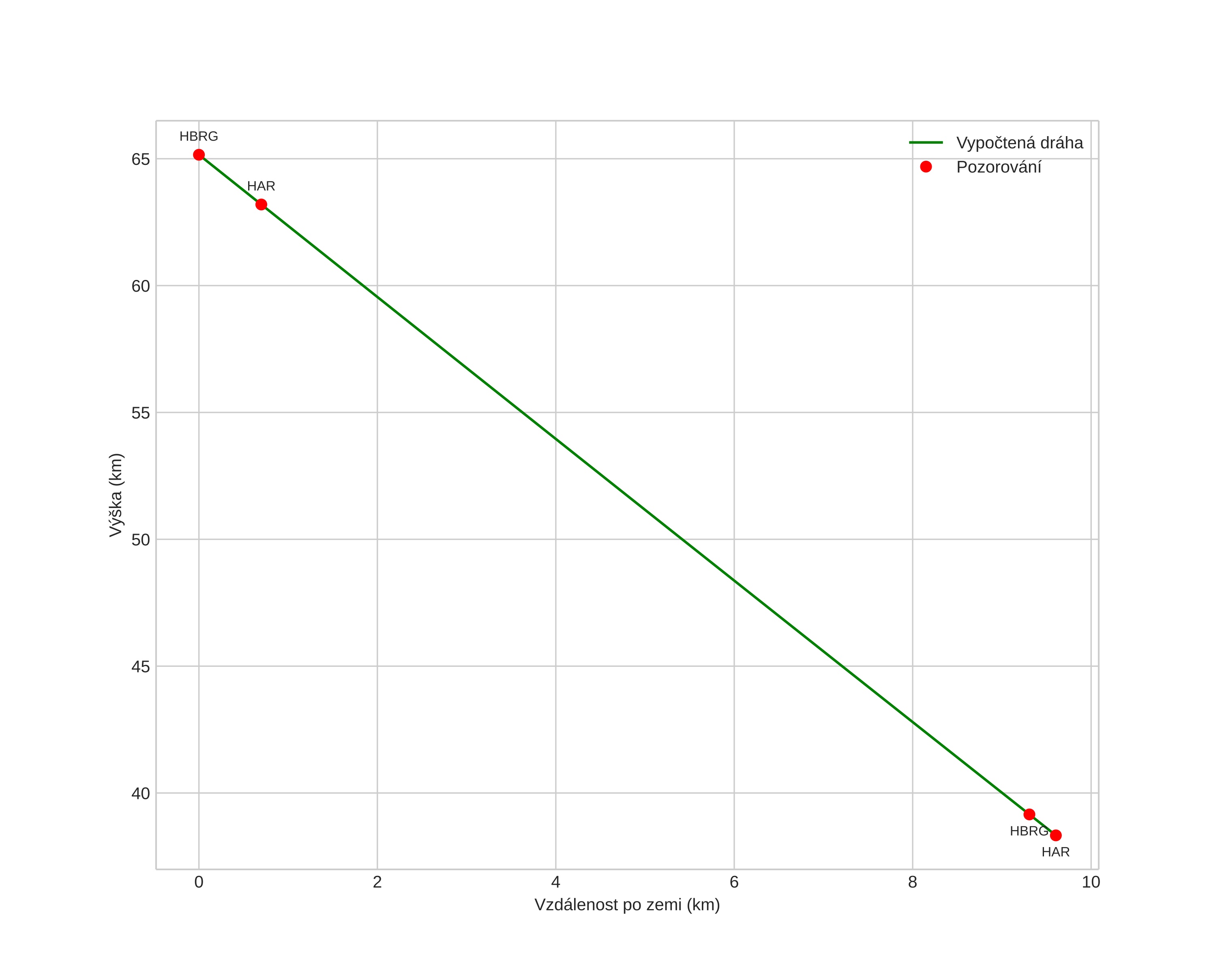
height profile
Atmosférická dráha meteoru:
Počáteční výška: 65,2 km
Konečná výška: 38,3 km
Počáteční poloha: 61,203N 13,716E
Konečná poloha: 61,264N 13,589E
Směr: 314,9°
Sklon: 70,4°
VstupnĂ­ rychlost: 14,7 km/s
Rektascenze radiantu: 02:28 (37,2°)
Deklinace radiantu: 41,7°
MeteorickĂ˝ roj: sporadickĂ˝
Elementy dráhy meteoroidu:
Vzdálenost v periheliu: 0,975 AU
Excentricita: 0,656
Sklon dráhy: 6,2°
Délka vzestupného uzlu: 296,5°
Argument perihelia: 191,8°
Střední anomálie: 358,1°
Epocha: 2017 JAN 16 16:25:33
orbit plot

NeinteraktivnĂ­ graf | InteraktivnĂ­ graf

position vs time
speed and acceleration