🇳🇴 🇬🇧 🇩🇪 🇨🇿 🇫🇮

Meteor Älvdalenin yllä 2017-01-16 16:25:33 UTC

KML-tiedosto  |  Interaktiivinen kartta

Kartta näyttää meteorin suuntahavainnot. Vaaleammat viivat näyttävät suunnat havaintoasemilta meteorin ilmestyessä, ja tummemmat viivat näyttävät, missä se viimeksi nähtiin. Sininen nuoli näyttää meteorin näkyvän lennon.

static map
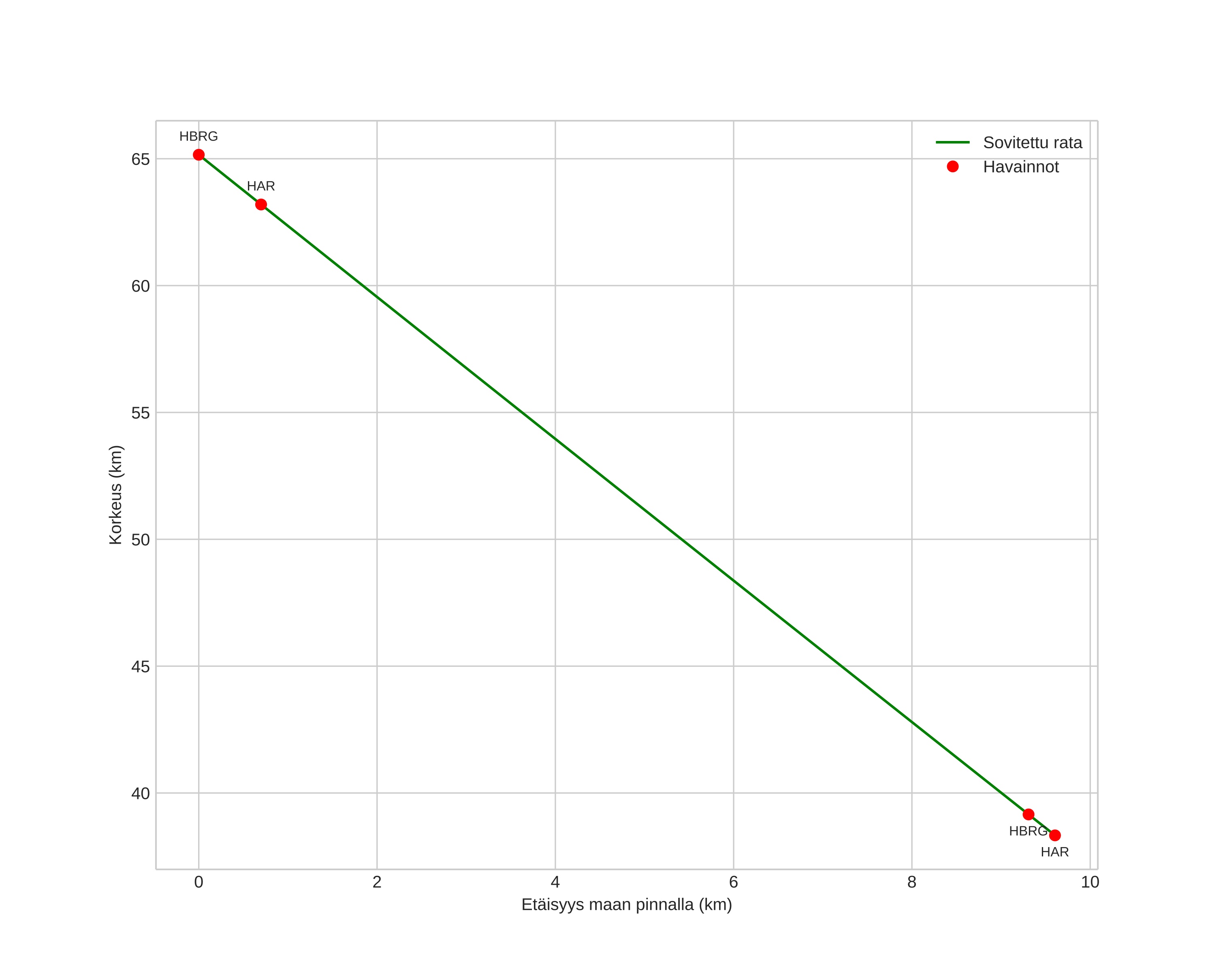
height profile
Meteorin ilmakehärata:
Alkukorkeus: 65,2 km
Loppukorkeus: 38,3 km
Alkupiste: 61,203N 13,716E
Loppupiste: 61,264N 13,589E
Suunta: 314,9°
Kallistuskulma: 70,4°
Tulonopeus: 14,7 km/s
Radiantin R,A,: 02:28 (37,2°)
Radiantin Dekl,: 41,7°
Meteoriparvi: Sporadinen
Meteoroidin rataelementit:
Perihelietäisyys: 0,975 AU
Eksentrisyys: 0,656
Inklinaatio: 6,2°
Nousevan solmun pituus: 296,5°
Perihelin argumentti: 191,8°
Keskianomalia: 358,1°
Epookki: 2017 JAN 16 16:25:33
orbit plot

Ei-interaktiivinen kuvaaja | Interaktiivinen kuvaaja

position vs time
speed and acceleration