🇳🇴 🇬🇧 🇩🇪 🇨🇿 🇫🇮

Meteor, poloha: Fagernes 2017-01-18 19:51:37 UTC

Soubor KML  |  InteraktivnĂ­ mapa

Mapa zobrazuje dráhy meteoru. Světlejší čáry ukazují směry od pozorovacích stanic při objevení se meteoru a tmavší čáry, kde byl naposledy viděn. Modrá šipka značí viditelnou dráhu meteoru.

static map
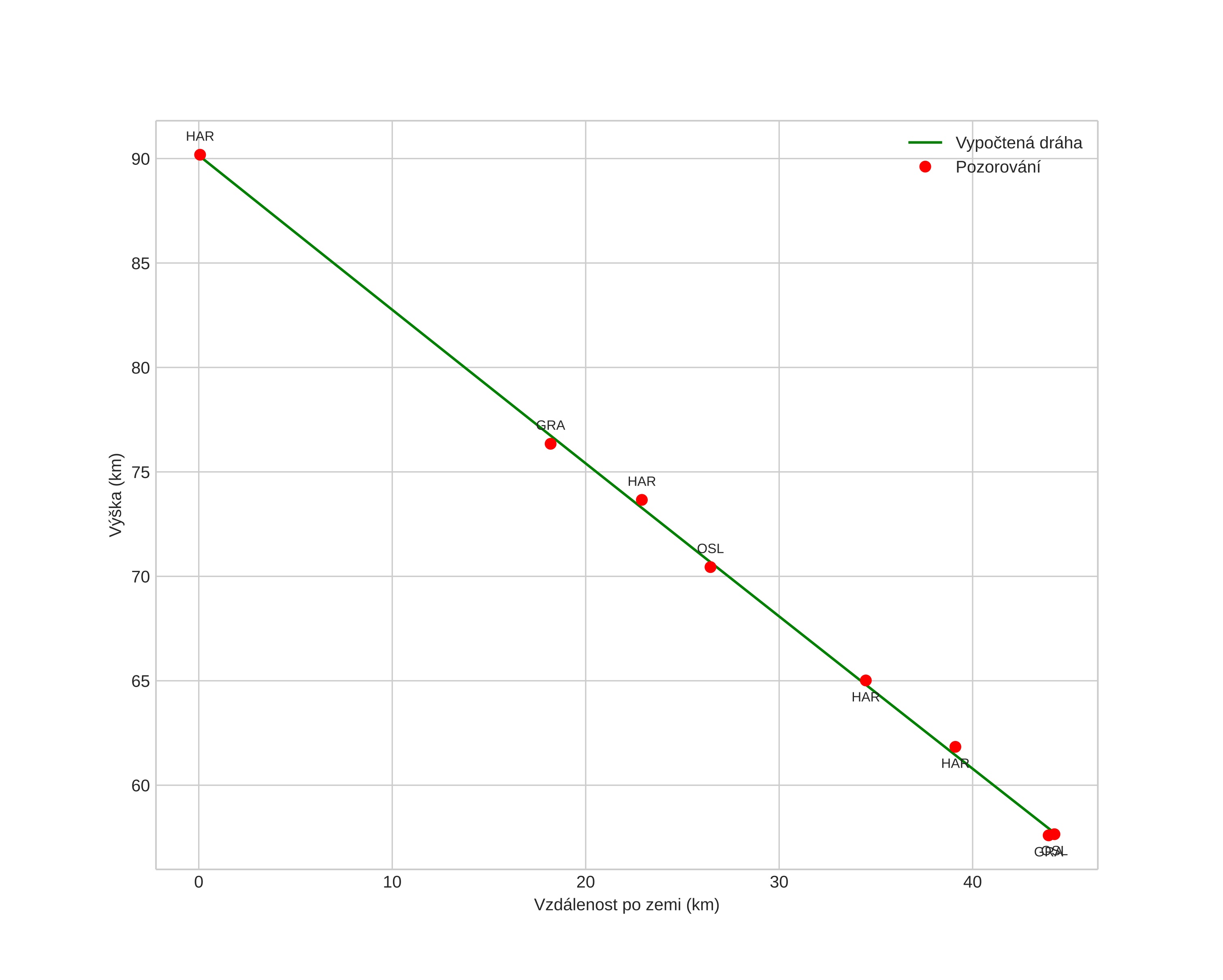
height profile
Atmosférická dráha meteoru:
Počáteční výška: 90,2 km
Konečná výška: 57,7 km
Počáteční poloha: 60,920N 10,098E
Konečná poloha: 61,028N 9,309E
Směr: 286,1°
Sklon: 36,3°
VstupnĂ­ rychlost: 27,2 km/s
Rektascenze radiantu: 08:21 (125,3°)
Deklinace radiantu: 22,0°
MeteorickĂ˝ roj: sporadickĂ˝
Elementy dráhy meteoroidu:
Vzdálenost v periheliu: 0,504 AU
Excentricita: 0,782
Sklon dráhy: 2,1°
Délka vzestupného uzlu: 298,6°
Argument perihelia: 276,5°
Střední anomálie: 347,7°
Epocha: 2017 JAN 18 19:51:37
orbit plot

NeinteraktivnĂ­ graf | InteraktivnĂ­ graf

position vs time
speed and acceleration