🇳🇴 🇬🇧 🇩🇪 🇨🇿 🇫🇮

Meteor Fagernesin yllä 2017-01-18 19:51:37 UTC

KML-tiedosto  |  Interaktiivinen kartta

Kartta näyttää meteorin suuntahavainnot. Vaaleammat viivat näyttävät suunnat havaintoasemilta meteorin ilmestyessä, ja tummemmat viivat näyttävät, missä se viimeksi nähtiin. Sininen nuoli näyttää meteorin näkyvän lennon.

static map
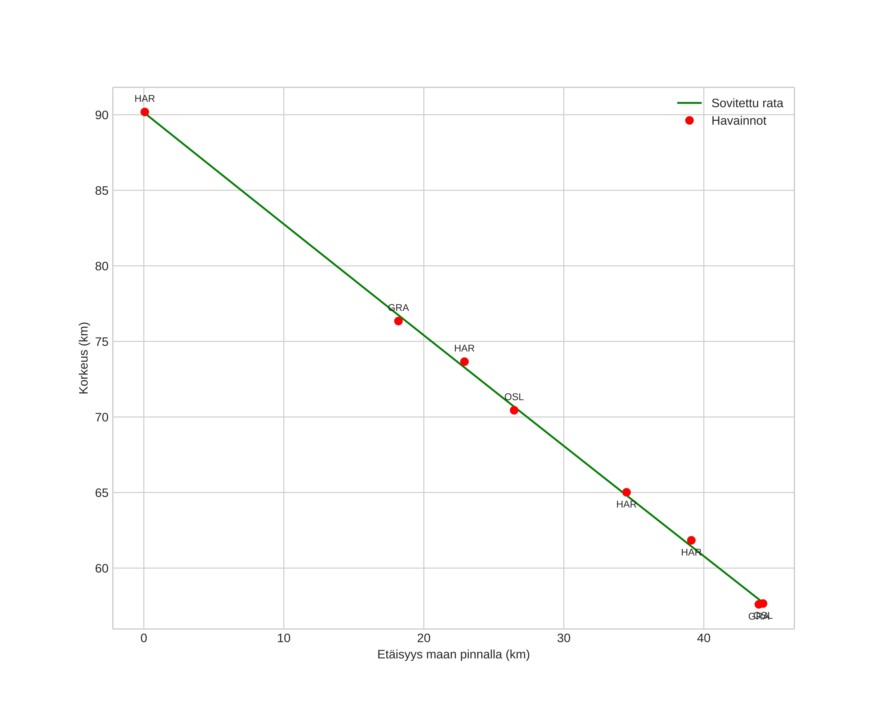
height profile
Meteorin ilmakehärata:
Alkukorkeus: 90,2 km
Loppukorkeus: 57,7 km
Alkupiste: 60,920N 10,098E
Loppupiste: 61,028N 9,309E
Suunta: 286,1°
Kallistuskulma: 36,3°
Tulonopeus: 27,2 km/s
Radiantin R,A,: 08:21 (125,3°)
Radiantin Dekl,: 22,0°
Meteoriparvi: Sporadinen
Meteoroidin rataelementit:
Perihelietäisyys: 0,504 AU
Eksentrisyys: 0,782
Inklinaatio: 2,1°
Nousevan solmun pituus: 298,6°
Perihelin argumentti: 276,5°
Keskianomalia: 347,7°
Epookki: 2017 JAN 18 19:51:37
orbit plot

Ei-interaktiivinen kuvaaja | Interaktiivinen kuvaaja

position vs time
speed and acceleration