🇳🇴 🇬🇧 🇩🇪 🇨🇿 🇫🇮

Meteor, poloha: Kirkenær 2017-01-21 22:29:57 UTC

Soubor KML  |  InteraktivnĂ­ mapa

Mapa zobrazuje dráhy meteoru. Světlejší čáry ukazují směry od pozorovacích stanic při objevení se meteoru a tmavší čáry, kde byl naposledy viděn. Modrá šipka značí viditelnou dráhu meteoru.

static map
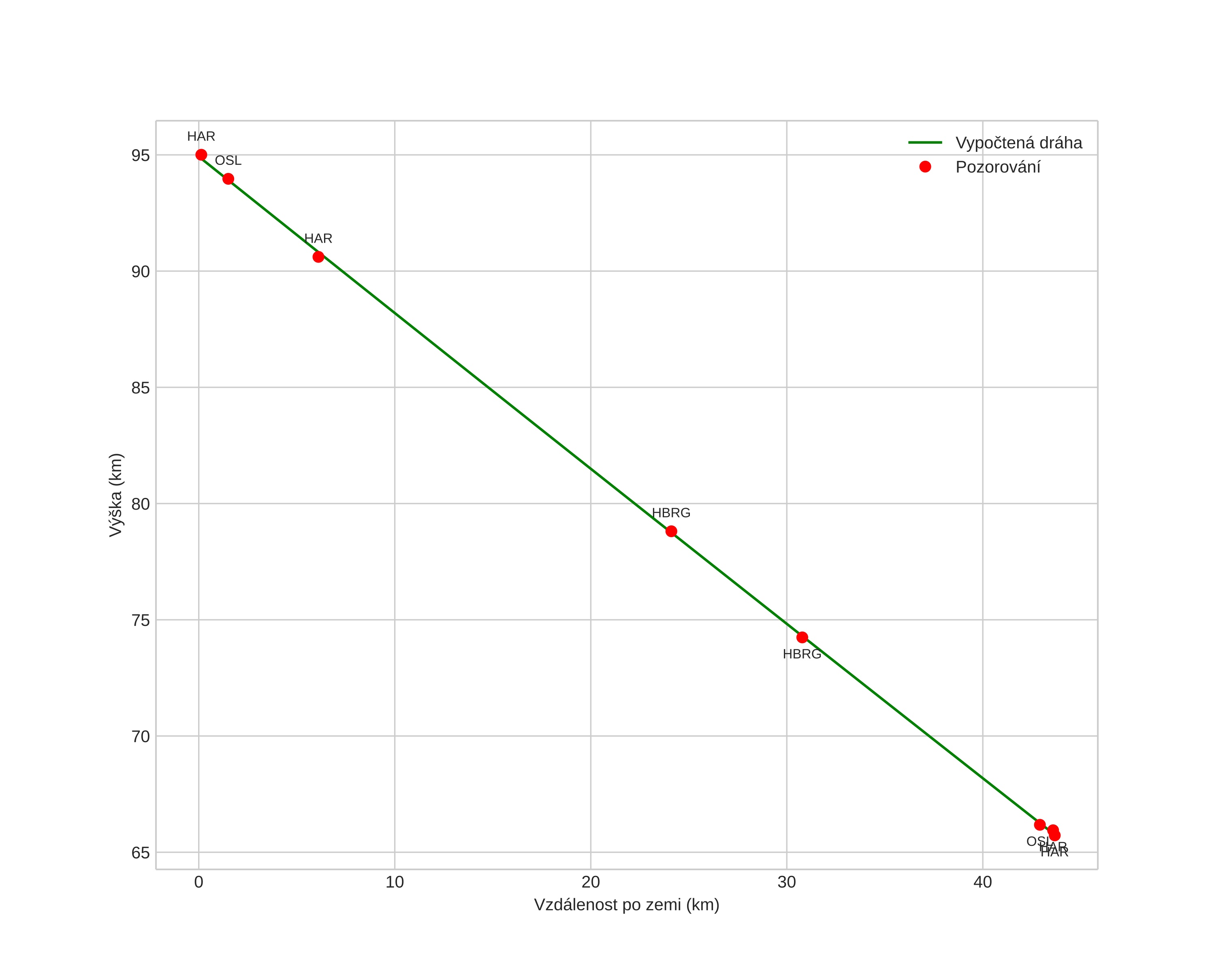
height profile
Atmosférická dráha meteoru:
Počáteční výška: 94,9 km
Konečná výška: 65,7 km
Počáteční poloha: 60,192N 11,997E
Konečná poloha: 60,573N 12,188E
Směr: 13,8°
Sklon: 33,8°
VstupnĂ­ rychlost: 19,4 km/s
Rektascenze radiantu: 06:31 (97,8°)
Deklinace radiantu: -1,3°
MeteorickĂ˝ roj: sporadickĂ˝
Elementy dráhy meteoroidu:
Vzdálenost v periheliu: 0,849 AU
Excentricita: 0,725
Sklon dráhy: 10,5°
Délka vzestupného uzlu: 121,9°
Argument perihelia: 47,6°
Střední anomálie: 354,2°
Epocha: 2017 JAN 21 22:29:57
orbit plot

NeinteraktivnĂ­ graf | InteraktivnĂ­ graf

position vs time
speed and acceleration