🇳🇴 🇬🇧 🇩🇪 🇨🇿 🇫🇮

Meteor Kirkenærin yllä 2017-01-21 22:29:57 UTC

KML-tiedosto  |  Interaktiivinen kartta

Kartta näyttää meteorin suuntahavainnot. Vaaleammat viivat näyttävät suunnat havaintoasemilta meteorin ilmestyessä, ja tummemmat viivat näyttävät, missä se viimeksi nähtiin. Sininen nuoli näyttää meteorin näkyvän lennon.

static map
height profile
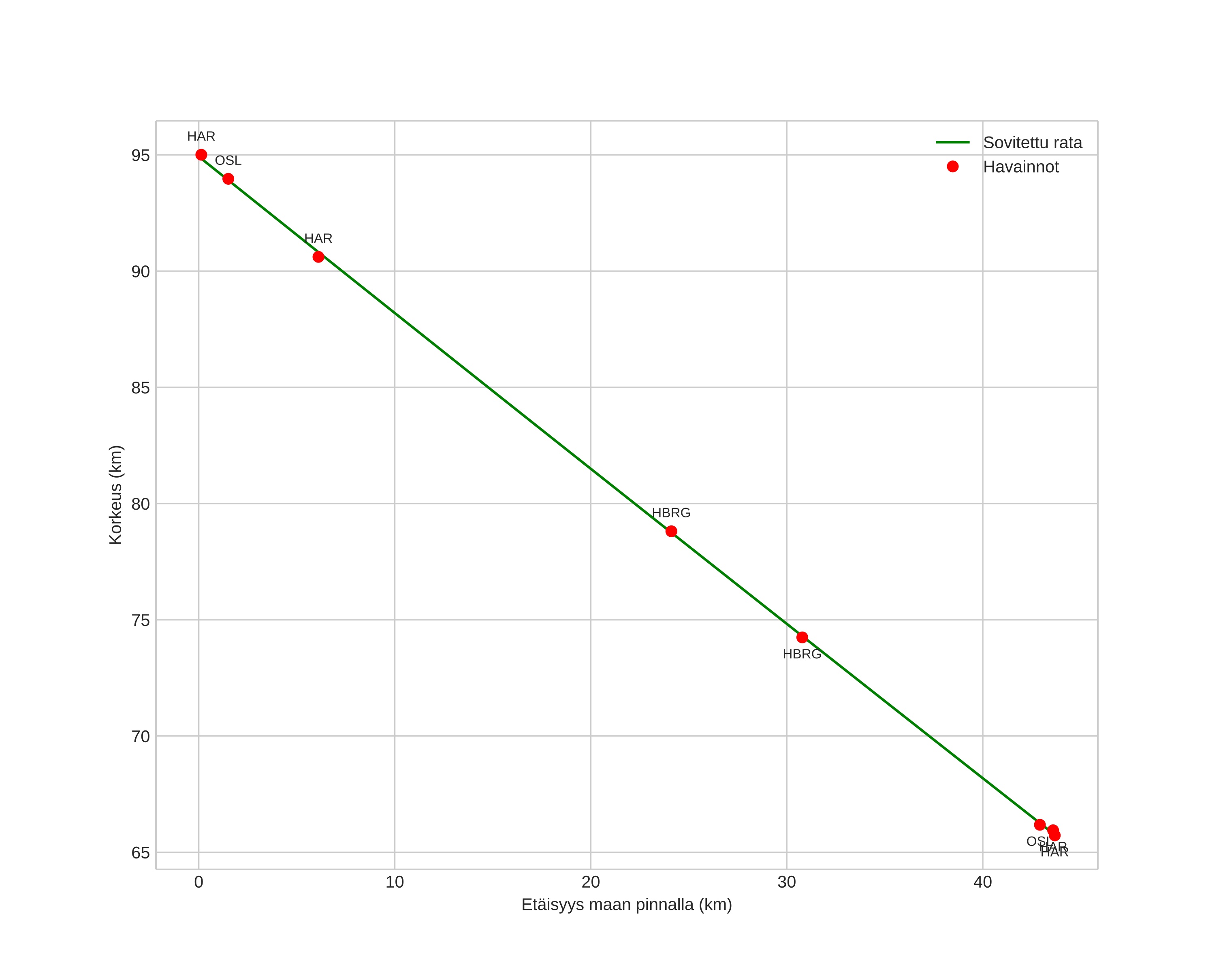
Meteorin ilmakehärata:
Alkukorkeus: 94,9 km
Loppukorkeus: 65,7 km
Alkupiste: 60,192N 11,997E
Loppupiste: 60,573N 12,188E
Suunta: 13,8°
Kallistuskulma: 33,8°
Tulonopeus: 19,4 km/s
Radiantin R,A,: 06:31 (97,8°)
Radiantin Dekl,: -1,3°
Meteoriparvi: Sporadinen
Meteoroidin rataelementit:
Perihelietäisyys: 0,849 AU
Eksentrisyys: 0,725
Inklinaatio: 10,5°
Nousevan solmun pituus: 121,9°
Perihelin argumentti: 47,6°
Keskianomalia: 354,2°
Epookki: 2017 JAN 21 22:29:57
orbit plot

Ei-interaktiivinen kuvaaja | Interaktiivinen kuvaaja

position vs time
speed and acceleration