🇳🇴 🇬🇧 🇩🇪 🇨🇿 🇫🇮

Meteor, poloha: VikesĂĄ 2017-01-23 19:57:21 UTC

Soubor KML  |  InteraktivnĂ­ mapa

Mapa zobrazuje dráhy meteoru. Světlejší čáry ukazují směry od pozorovacích stanic při objevení se meteoru a tmavší čáry, kde byl naposledy viděn. Modrá šipka značí viditelnou dráhu meteoru.

static map
height profile
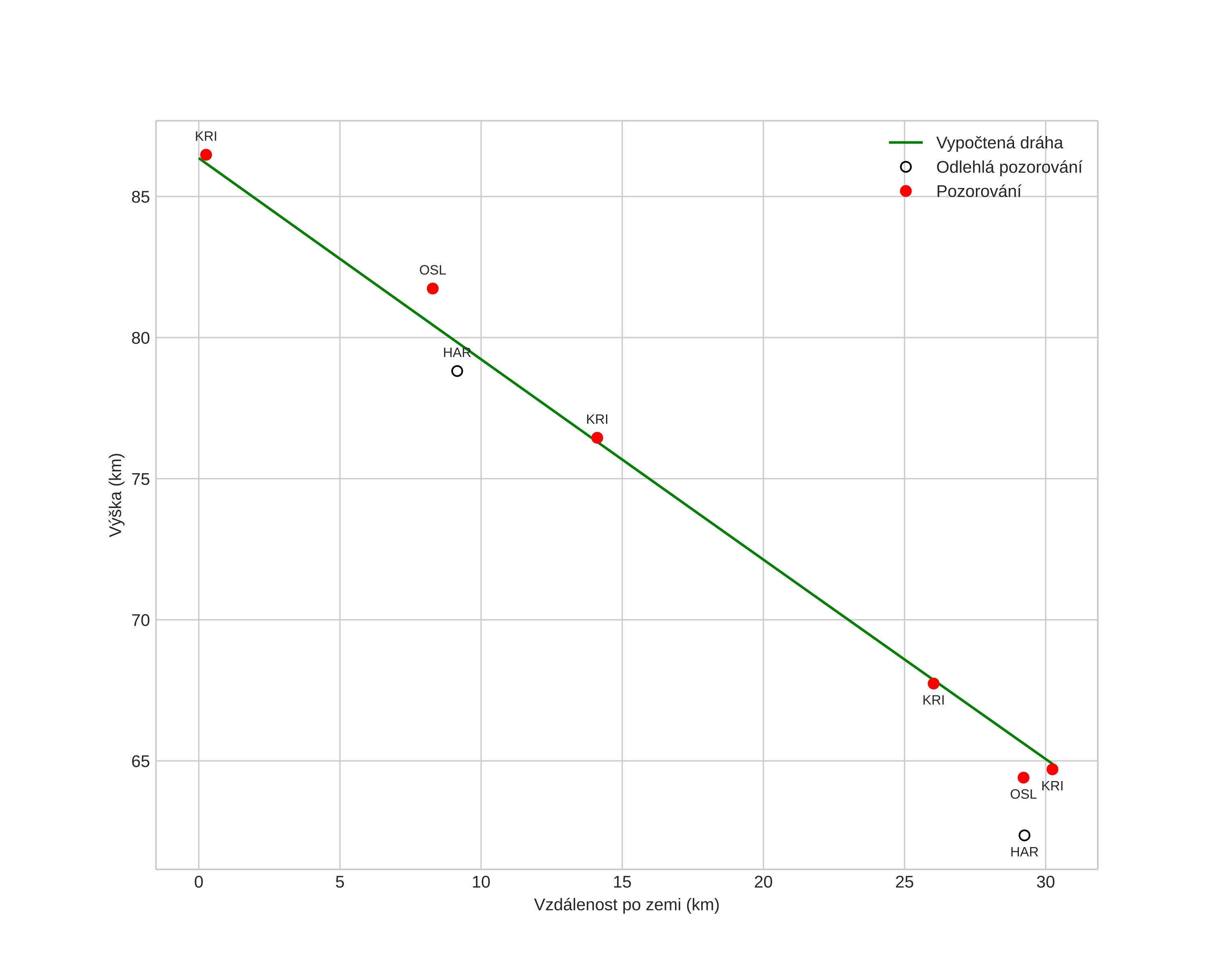
Atmosférická dráha meteoru:
Počáteční výška: 86,4 km
Konečná výška: 64,8 km
Počáteční poloha: 58,596N 6,492E
Konečná poloha: 58,858N 6,344E
Směr: 343,7°
Sklon: 35,5°
VstupnĂ­ rychlost: 15,9 km/s
Rektascenze radiantu: 05:30 (82,6°)
Deklinace radiantu: -4,8°
MeteorickĂ˝ roj: sporadickĂ˝
Elementy dráhy meteoroidu:
Vzdálenost v periheliu: 0,938 AU
Excentricita: 0,621
Sklon dráhy: 8,2°
Délka vzestupného uzlu: 123,8°
Argument perihelia: 28,7°
Střední anomálie: 354,6°
Epocha: 2017 JAN 23 19:57:21
orbit plot

NeinteraktivnĂ­ graf | InteraktivnĂ­ graf

position vs time
speed and acceleration