🇳🇴 🇬🇧 🇩🇪 🇨🇿 🇫🇮

Meteor Vikesåin yllä 2017-01-23 19:57:21 UTC

KML-tiedosto  |  Interaktiivinen kartta

Kartta näyttää meteorin suuntahavainnot. Vaaleammat viivat näyttävät suunnat havaintoasemilta meteorin ilmestyessä, ja tummemmat viivat näyttävät, missä se viimeksi nähtiin. Sininen nuoli näyttää meteorin näkyvän lennon.

static map
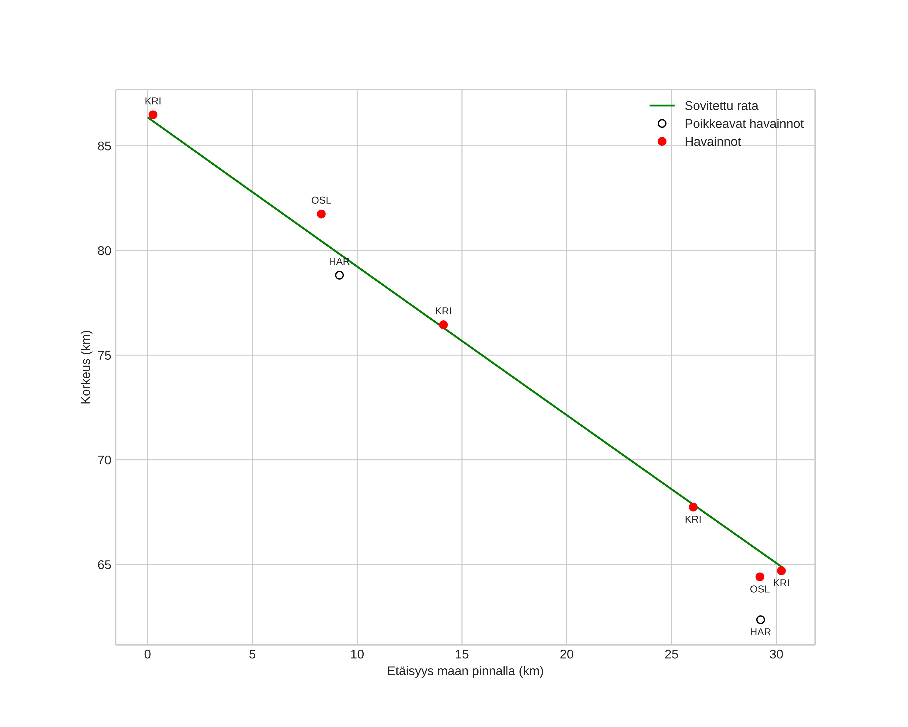
height profile
Meteorin ilmakehärata:
Alkukorkeus: 86,4 km
Loppukorkeus: 64,8 km
Alkupiste: 58,596N 6,492E
Loppupiste: 58,858N 6,344E
Suunta: 343,7°
Kallistuskulma: 35,5°
Tulonopeus: 15,9 km/s
Radiantin R,A,: 05:30 (82,6°)
Radiantin Dekl,: -4,8°
Meteoriparvi: Sporadinen
Meteoroidin rataelementit:
Perihelietäisyys: 0,938 AU
Eksentrisyys: 0,621
Inklinaatio: 8,2°
Nousevan solmun pituus: 123,8°
Perihelin argumentti: 28,7°
Keskianomalia: 354,6°
Epookki: 2017 JAN 23 19:57:21
orbit plot

Ei-interaktiivinen kuvaaja | Interaktiivinen kuvaaja

position vs time
speed and acceleration