🇳🇴 🇬🇧 🇩🇪 🇨🇿 🇫🇮

Meteor, poloha: Färgelanda 2017-02-17 02:49:48 UTC

Soubor KML  |  InteraktivnĂ­ mapa

Mapa zobrazuje dráhy meteoru. Světlejší čáry ukazují směry od pozorovacích stanic při objevení se meteoru a tmavší čáry, kde byl naposledy viděn. Modrá šipka značí viditelnou dráhu meteoru.

static map
height profile
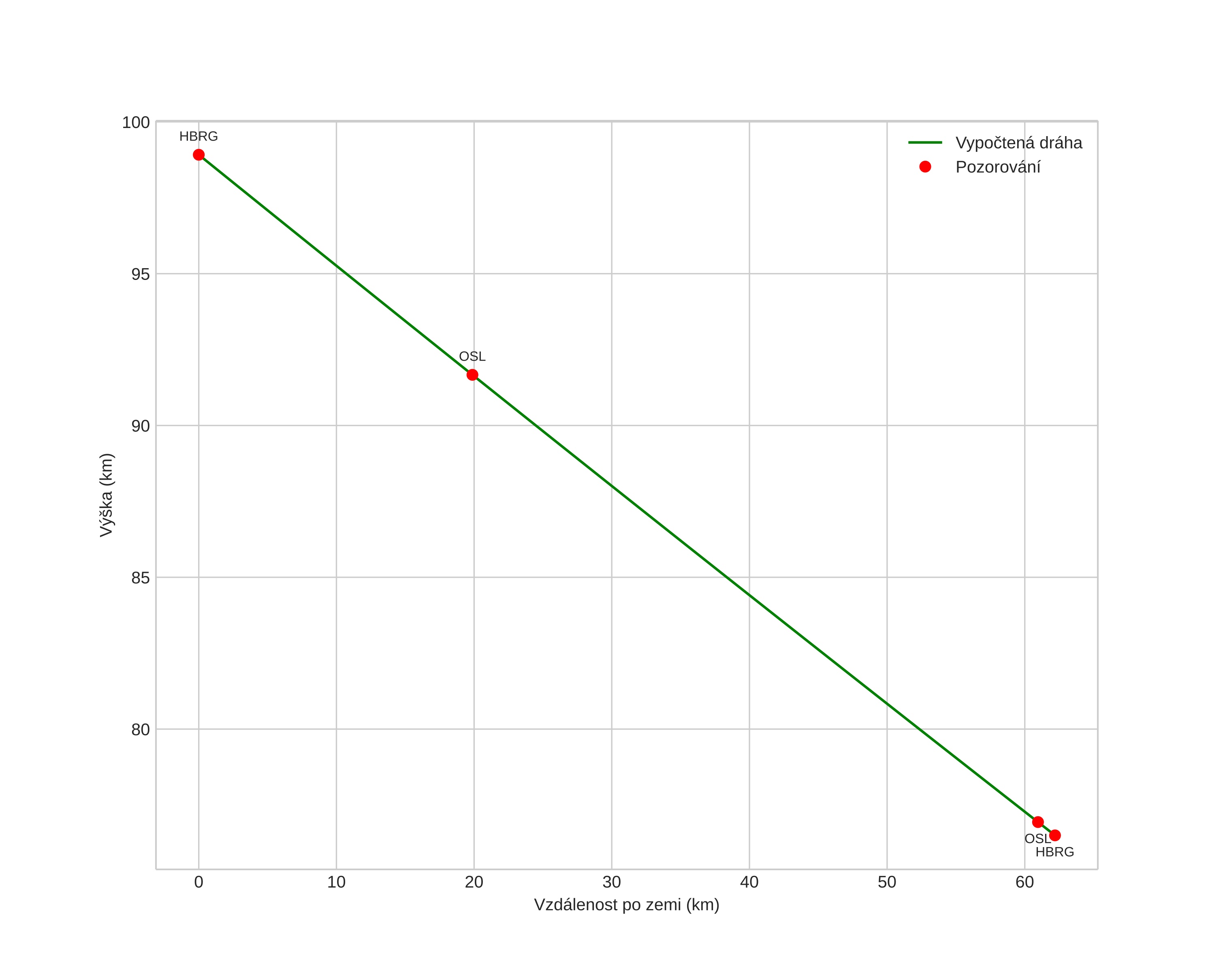
Atmosférická dráha meteoru:
Počáteční výška: 98,9 km
Konečná výška: 76,5 km
Počáteční poloha: 58,472N 13,092E
Konečná poloha: 58,469N 12,023E
Směr: 270,1°
Sklon: 19,8°
VstupnĂ­ rychlost: 64,1 km/s
Rektascenze radiantu: 18:48 (282,1°)
Deklinace radiantu: 16,2°
MeteorickĂ˝ roj: sporadickĂ˝
Elementy dráhy meteoroidu:
Vzdálenost v periheliu: 0,630 AU
Excentricita: 1,757
Sklon dráhy: 95,0°
Délka vzestupného uzlu: 328,4°
Argument perihelia: 115,6°
Střední anomálie: 35,3°
Epocha: 2017 FEB 17 02:49:48
orbit plot

NeinteraktivnĂ­ graf | InteraktivnĂ­ graf

position vs time
speed and acceleration