🇳🇴 🇬🇧 🇩🇪 🇨🇿 🇫🇮

Meteor Färgelandan yllä 2017-02-17 02:49:48 UTC

KML-tiedosto  |  Interaktiivinen kartta

Kartta näyttää meteorin suuntahavainnot. Vaaleammat viivat näyttävät suunnat havaintoasemilta meteorin ilmestyessä, ja tummemmat viivat näyttävät, missä se viimeksi nähtiin. Sininen nuoli näyttää meteorin näkyvän lennon.

static map
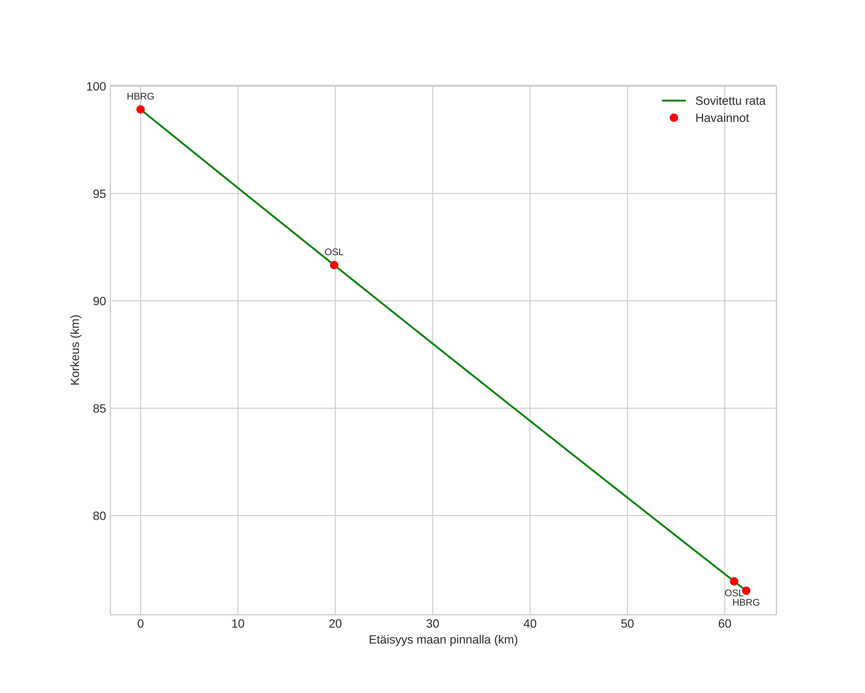
height profile
Meteorin ilmakehärata:
Alkukorkeus: 98,9 km
Loppukorkeus: 76,5 km
Alkupiste: 58,472N 13,092E
Loppupiste: 58,469N 12,023E
Suunta: 270,1°
Kallistuskulma: 19,8°
Tulonopeus: 64,1 km/s
Radiantin R,A,: 18:48 (282,1°)
Radiantin Dekl,: 16,2°
Meteoriparvi: Sporadinen
Meteoroidin rataelementit:
Perihelietäisyys: 0,630 AU
Eksentrisyys: 1,757
Inklinaatio: 95,0°
Nousevan solmun pituus: 328,4°
Perihelin argumentti: 115,6°
Keskianomalia: 35,3°
Epookki: 2017 FEB 17 02:49:48
orbit plot

Ei-interaktiivinen kuvaaja | Interaktiivinen kuvaaja

position vs time
speed and acceleration