🇳🇴 🇬🇧 🇩🇪 🇨🇿 🇫🇮

Meteor, poloha: Hanstholm 2017-02-24 00:51:32 UTC

Soubor KML  |  InteraktivnĂ­ mapa

Mapa zobrazuje dráhy meteoru. Světlejší čáry ukazují směry od pozorovacích stanic při objevení se meteoru a tmavší čáry, kde byl naposledy viděn. Modrá šipka značí viditelnou dráhu meteoru.

static map
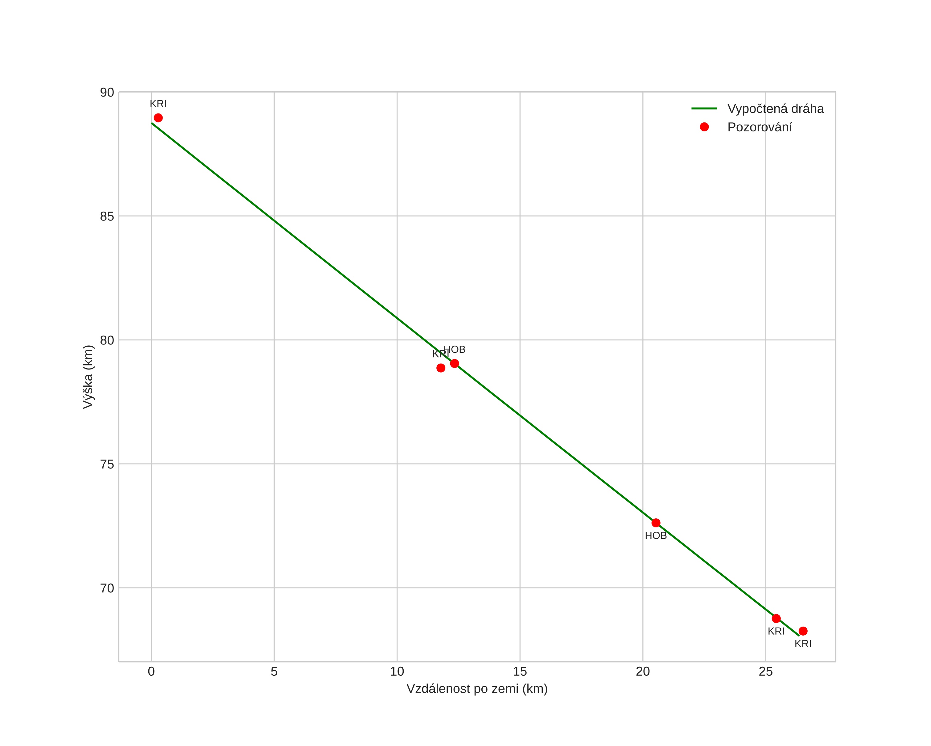
height profile
Atmosférická dráha meteoru:
Počáteční výška: 88,8 km
Konečná výška: 68,1 km
Počáteční poloha: 57,550N 8,489E
Konečná poloha: 57,706N 8,823E
Směr: 48,8°
Sklon: 38,1°
VstupnĂ­ rychlost: 18,8 km/s
Rektascenze radiantu: 08:57 (134,5°)
Deklinace radiantu: 8,6°
MeteorickĂ˝ roj: sporadickĂ˝
Elementy dráhy meteoroidu:
Vzdálenost v periheliu: 0,830 AU
Excentricita: 0,685
Sklon dráhy: 3,5°
Délka vzestupného uzlu: 155,4°
Argument perihelia: 52,9°
Střední anomálie: 351,8°
Epocha: 2017 FEB 24 00:51:32
orbit plot

NeinteraktivnĂ­ graf | InteraktivnĂ­ graf

position vs time
speed and acceleration