🇳🇴 🇬🇧 🇩🇪 🇨🇿 🇫🇮

Meteor Hanstholmin yllä 2017-02-24 00:51:32 UTC

KML-tiedosto  |  Interaktiivinen kartta

Kartta näyttää meteorin suuntahavainnot. Vaaleammat viivat näyttävät suunnat havaintoasemilta meteorin ilmestyessä, ja tummemmat viivat näyttävät, missä se viimeksi nähtiin. Sininen nuoli näyttää meteorin näkyvän lennon.

static map
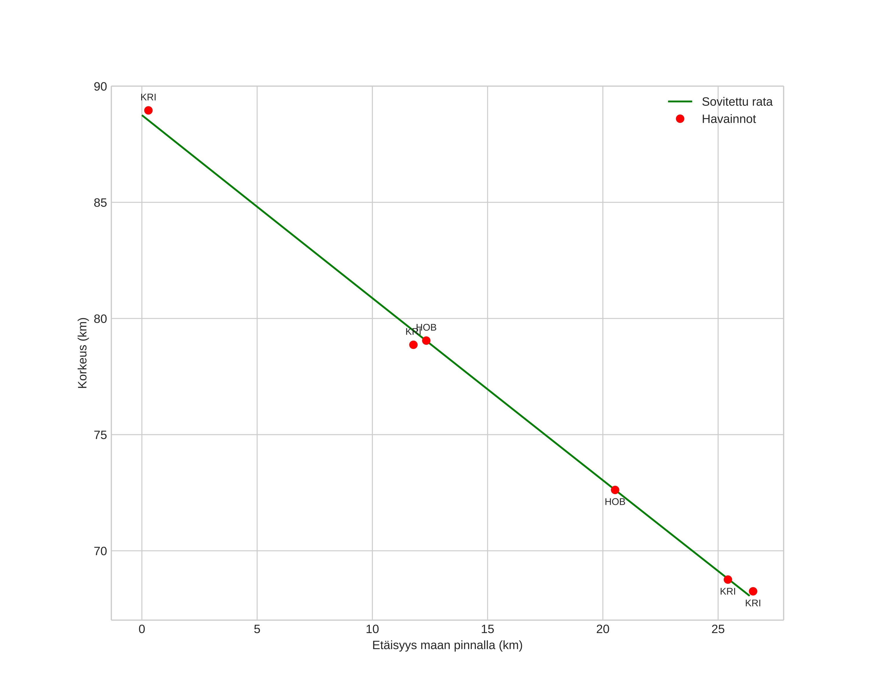
height profile
Meteorin ilmakehärata:
Alkukorkeus: 88,8 km
Loppukorkeus: 68,1 km
Alkupiste: 57,550N 8,489E
Loppupiste: 57,706N 8,823E
Suunta: 48,8°
Kallistuskulma: 38,1°
Tulonopeus: 18,8 km/s
Radiantin R,A,: 08:57 (134,5°)
Radiantin Dekl,: 8,6°
Meteoriparvi: Sporadinen
Meteoroidin rataelementit:
Perihelietäisyys: 0,830 AU
Eksentrisyys: 0,685
Inklinaatio: 3,5°
Nousevan solmun pituus: 155,4°
Perihelin argumentti: 52,9°
Keskianomalia: 351,8°
Epookki: 2017 FEB 24 00:51:32
orbit plot

Ei-interaktiivinen kuvaaja | Interaktiivinen kuvaaja

position vs time
speed and acceleration