🇳🇴 🇬🇧 🇩🇪 🇨🇿 🇫🇮

Meteor, poloha: Fjellfoten 2017-02-25 03:27:01 UTC

Soubor KML  |  InteraktivnĂ­ mapa

Mapa zobrazuje dráhy meteoru. Světlejší čáry ukazují směry od pozorovacích stanic při objevení se meteoru a tmavší čáry, kde byl naposledy viděn. Modrá šipka značí viditelnou dráhu meteoru.

static map
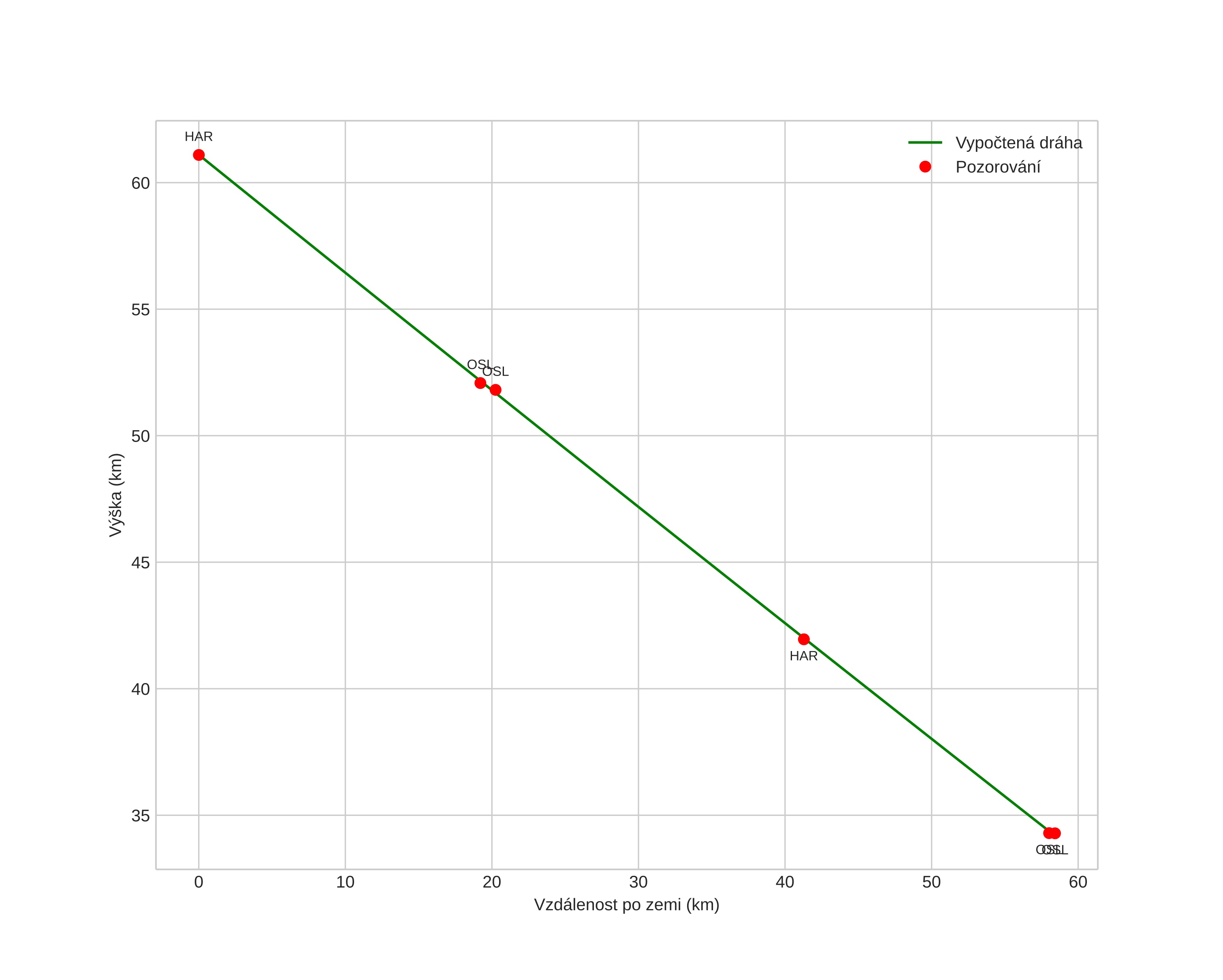
height profile
Atmosférická dráha meteoru:
Počáteční výška: 61,1 km
Konečná výška: 34,2 km
Počáteční poloha: 60,454N 12,201E
Konečná poloha: 60,074N 11,470E
Směr: 224,0°
Sklon: 24,7°
VstupnĂ­ rychlost: 15,0 km/s
Rektascenze radiantu: 23:08 (347,2°)
Deklinace radiantu: 30,5°
MeteorickĂ˝ roj: sporadickĂ˝
Elementy dráhy meteoroidu:
Vzdálenost v periheliu: 0,902 AU
Excentricita: 0,423
Sklon dráhy: 9,1°
Délka vzestupného uzlu: 336,5°
Argument perihelia: 134,5°
Střední anomálie: 17,8°
Epocha: 2017 FEB 25 03:27:01
orbit plot

NeinteraktivnĂ­ graf | InteraktivnĂ­ graf

position vs time
speed and acceleration