🇳🇴 🇬🇧 🇩🇪 🇨🇿 🇫🇮

Meteor Fjellfotenin yllä 2017-02-25 03:27:01 UTC

KML-tiedosto  |  Interaktiivinen kartta

Kartta näyttää meteorin suuntahavainnot. Vaaleammat viivat näyttävät suunnat havaintoasemilta meteorin ilmestyessä, ja tummemmat viivat näyttävät, missä se viimeksi nähtiin. Sininen nuoli näyttää meteorin näkyvän lennon.

static map
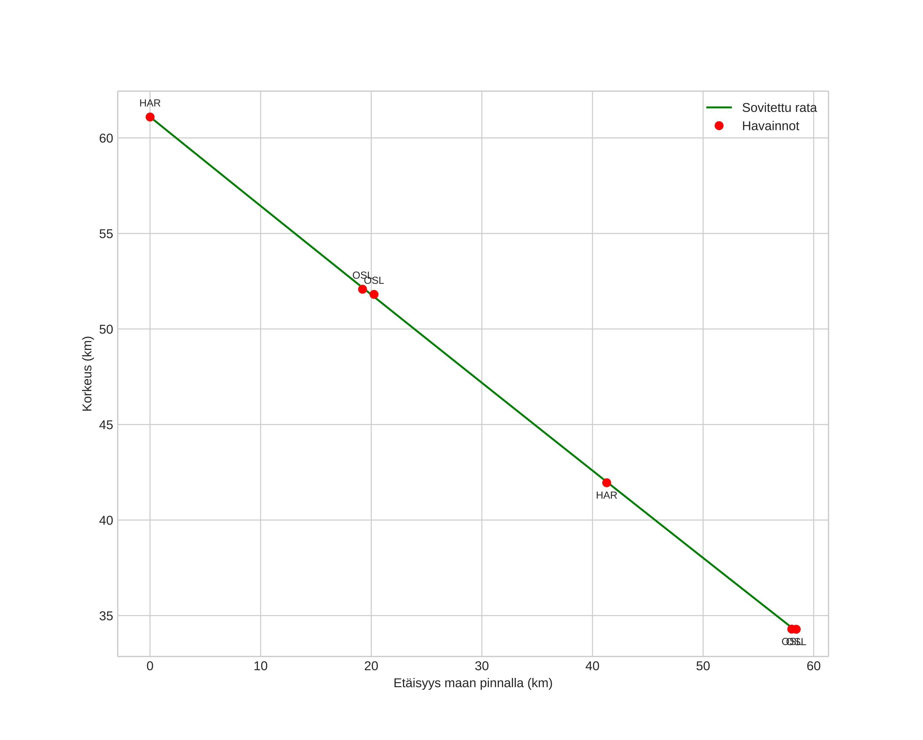
height profile
Meteorin ilmakehärata:
Alkukorkeus: 61,1 km
Loppukorkeus: 34,2 km
Alkupiste: 60,454N 12,201E
Loppupiste: 60,074N 11,470E
Suunta: 224,0°
Kallistuskulma: 24,7°
Tulonopeus: 15,0 km/s
Radiantin R,A,: 23:08 (347,2°)
Radiantin Dekl,: 30,5°
Meteoriparvi: Sporadinen
Meteoroidin rataelementit:
Perihelietäisyys: 0,902 AU
Eksentrisyys: 0,423
Inklinaatio: 9,1°
Nousevan solmun pituus: 336,5°
Perihelin argumentti: 134,5°
Keskianomalia: 17,8°
Epookki: 2017 FEB 25 03:27:01
orbit plot

Ei-interaktiivinen kuvaaja | Interaktiivinen kuvaaja

position vs time
speed and acceleration