🇳🇴 🇬🇧 🇩🇪 🇨🇿 🇫🇮

Meteor, poloha: Skien 2017-03-15 20:48:41 UTC

Soubor KML

Mapa zobrazuje dráhy meteoru. Světlejší čáry ukazují směry od pozorovacích stanic při objevení se meteoru a tmavší čáry, kde byl naposledy viděn. Modrá šipka značí viditelnou dráhu meteoru.

static map
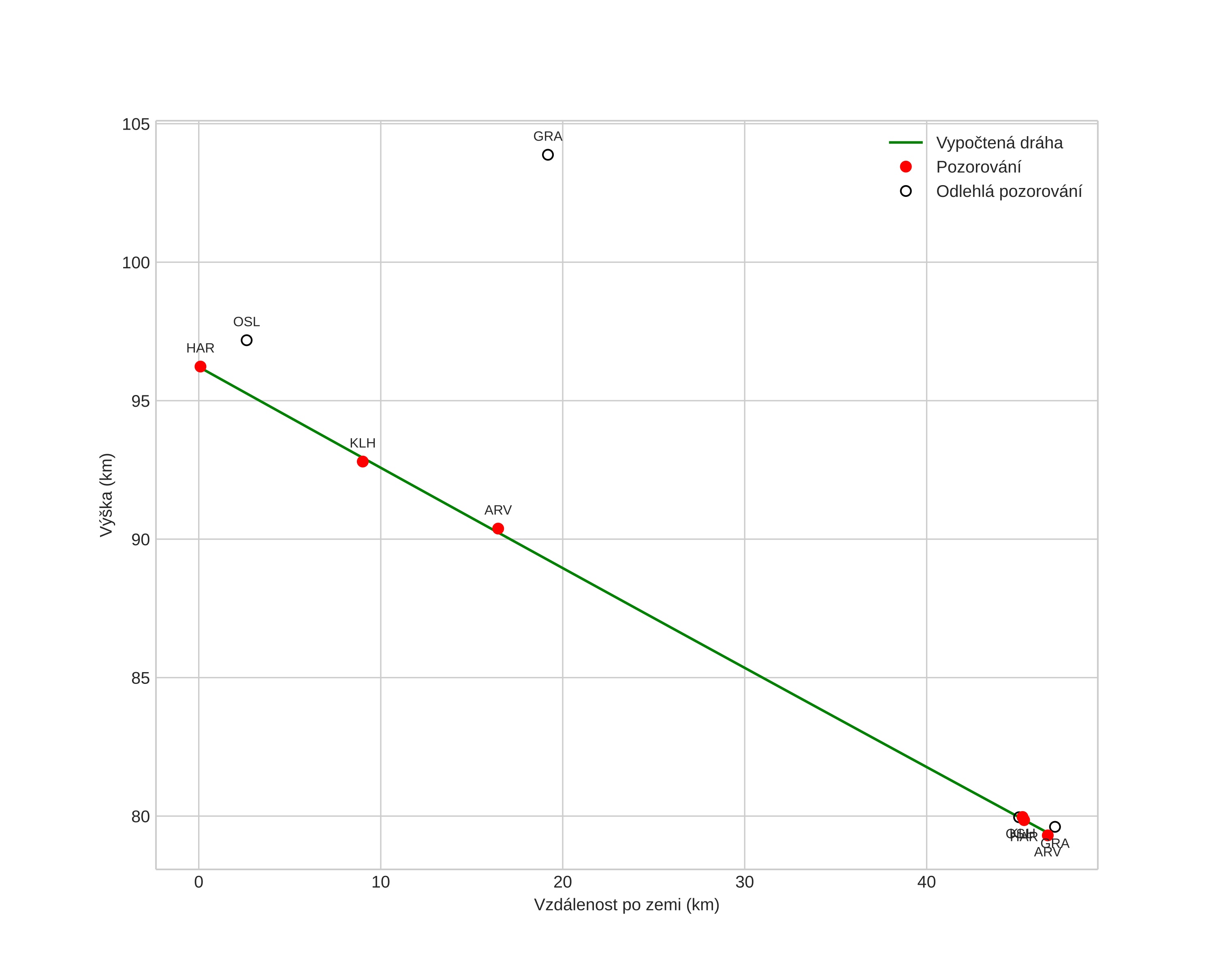
height profile
Atmosférická dráha meteoru:
Počáteční výška: 96,2 km
Konečná výška: 79,4 km
Počáteční poloha: 59,597N 10,062E
Konečná poloha: 59,277N 9,527E
Směr: 220,6°
Sklon: 19,8°
VstupnĂ­ rychlost: 43,8 km/s
Rektascenze radiantu: 17:30 (262,6°)
Deklinace radiantu: 39,8°
MeteorickĂ˝ roj: sporadickĂ˝
Elementy dráhy meteoroidu:
Vzdálenost v periheliu: 0,991 AU
Excentricita: 0,721
Sklon dráhy: 73,9°
Délka vzestupného uzlu: 355,2°
Argument perihelia: 187,4°
Střední anomálie: 359,2°
Epocha: 2017 MAR 15 20:48:41
orbit plot

NeinteraktivnĂ­ graf

position vs time
speed and acceleration